ecosistemas

ISSN 1697-2473

Open access / CC BY-NC 4.0

© 2025 Los autores [ECOSISTEMAS no se hace responsable del uso indebido de material sujeto a derecho de autor] / © 2025 The authors [ECOSISTEMAS is not responsible for the misuse of copyrighted material]

 

Ecosistemas 34(1): 2859 [enero - abril / January - April, 2025]: https://doi.org/10.7818/ECOS.2859

 

MONOGRÁFICO: Fototrampeo en ecología / MONOGRAPHIC: Camera Trapping in Ecology

Editores invitados / Guest editors: Lara Naves-Alegre, Adrián Orihuela Torres y Roberto Pascual-Rico

 

ARTÍCULO DE INVESTIGACIÓN / RESEARCH ARTICLE

 


Densidad y ocupación del tapir andino en los Andes del norte de Ecuador

Carlos Urgilés-Verdugo1,2,* ORCID logo, Freddy Gallo-Viracocha2 ORCID logo, Michael S. Esbach3 ORCID logo, Adrián Escudero1 ORCID logo

 

(1)   Instituto de Investigación en Cambio Global, Universidad Rey Juan Carlos, Móstoles, Madrid, España.

(2)    Instituto para la Conservación y Capacitación Ambiental, Mariano Cardenal N74-153 y Joaquín Mancheno, Quito, Ecuador.

(3)    Colorado State University, Fort Collins, Colorado 80523, USA.

 

* Autor para correspondencia / Correspondig author: Carlos Urgilés-Verdugo [c.urgiles.2023@alumnos.urjc.es]

 

> Recibido / Received: 14/09/2024 – Aceptado / Accepted: 11/02/2025

Cómo citar / How to cite: Urgilés-Verdugo, C., Gallo-Viracocha, F., Esbach, M.S., Escudero, A. 2025. Densidad y ocupación del tapir andino en los Andes del norte de Ecuador. Ecosistemas 34(1): 2859. https://doi.org/10.7818/ECOS.2859  

Densidad y ocupación del tapir andino en los Andes del norte de Ecuador

Resumen: El tapir andino (Tapirus pinchaque) es una de las especies más amenazadas del género debido a la fragmentación de su hábitat, caza y distribución limitada en los bosques montanos y páramos de Colombia, Ecuador y Perú. Pese a su relevancia ecológica, existen pocos estudios robustos sobre los factores que influyen en su ocupación. Este estudio estimó su densidad y ocupación espacial mediante fototrampeo en dos hábitats: bosque montano y páramo en los Andes del norte de Ecuador. Se muestrearon cuatro áreas de 100 km² cada una, con 40 cámaras por área, activas durante 70.8 días. La densidad fue analizada con el Modelo de Encuentro Aleatorio (REM), mientras que la ocupación se estimó mediante modelos de ocupación. El esfuerzo de muestreo fue de 5192 trampas/noche en bosque montano y 6131 en páramo. La densidad del tapir andino fue de 23.6 individuos/100 km² en bosque montano y 11.6 en páramo. En bosque montano, la ocupación estuvo influenciada por la presencia de carnívoros (ψ̂ = 0.77), mientras que, en páramo, por la cobertura vegetal (ψ̂ = 0.44). Los resultados indican una mayor ocupación en el bosque montano, aunque sin diferencias significativas en la densidad entre ambos hábitats. El estudio resalta la importancia de las áreas protegidas y la necesidad de evaluar periódicamente la ocupación del tapir andino para monitorear la integridad de los ecosistemas y la efectividad de las medidas de conservación.

Palabras clave: bosque montano; densidad; fototrampeo; hábitat; ocupación; páramo andino

Density and occupancy of the Andean tapir in the Northern Andes of Ecuador

Abstract: The Andean tapir (Tapirus pinchaque) is one of the most endangered species of the genus, due to habitat fragmentation, hunting and limited distribution in the montane forests and paramos of Colombia, Ecuador and Peru. Despite its ecological relevance, there are few robust studies on the factors influencing its occupancy. This study estimated its density and spatial occupancy by photo-trapping in two habitats: montane forest and paramo in the northern Andes of Ecuador. Four areas of 100 km² each were sampled with 40 cameras per area, active for 70.8 days summing a total of 160 cameras. Density was analyzed with the Random Encounter Model (REM), while occupancy was estimated using occupancy models. Sampling effort was 5192 traps/night in montane forest and 6131 in paramo. Andean tapir density was 23.6 individuals/100 km² in montane forest and 11.6 in paramo. In montane forest, occupancy was influenced by the presence of carnivores (ψ̂ = 0.77), while in paramo, by vegetation cover (ψ̂ = 0.44). The results indicate a higher occupancy in montane forest, although without significant differences in density between the two habitats. The study highlights the importance of protected areas and the need to periodically assess Andean tapir occupancy to monitor ecosystem integrity and the effectiveness of conservation measures.

Keywords: montane forest; density; photo-trapping; habitat; occupancy; Andean paramo


Introducción

El tapir andino (Tapirus pinchaque Ruolin, 1829) es considerado como una especie clave en los páramos andinos por su dieta herbívora y frugívora  (Acosta et al. 1996; Lizcano y Cavelier 2004a; Bermúdez y Reyes Puig 2011). Su distribución se restringe a los bosques montanos y páramos de Colombia (Acosta et al. 1996) Ecuador (Downer 1996) y norte de Perú (Padilla et al. 2010), en un rango altitudinal que va de los 1200 a los 4500 m (Tirira et al. 2019; Castellanos et al. 2020). La especie se considera extinta en Venezuela donde no hay registros desde hace más de 40 años (Acosta et al. 1996; Downer 1996). Aunque la información disponible sobre su situación actual es escasa, la dramática destrucción y degradación de sus hábitats debido a la colonización, actividades extractivas, presión por caza y comercio ilegal de sus partes han colocado al tapir andino como uno de los mamíferos más amenazados de Sudamérica, considerado En Peligro Crítico en Ecuador (Urgilés-Verdugo et al. 2021). Se trata de la especie más amenazada del género Tapirus (Tirira et al. 2019) y con menor densidad poblacional de las tres especies de tapires del Neotrópico (Lizcano y Cavelier 2000b).

La gran diversidad biológica, ecosistémica y cultural de los bosques andinos, contrasta con su extremada vulnerabilidad a los cambios en el uso del suelo y el clima (de la Torre et al. 2006; Mena Vásconez y Hofstede 2006; Quichimbo et al. 2012; Tejedor Garavito et al. 2012). Su historia de uso data de hace más de 3000 años para actividades agropecuarias (Hofstede et al. 2002; de la Torre et al. 2006). En Ecuador, la región andina es la más densamente poblada (Quichimbo et al. 2012) con menos del 3%  del total de páramo ecuatoriano en buen estado de conservación (Hofstede et al. 2002; Quichimbo et al. 2012). Los remanentes bien conservados de páramo y bosques montanos se encuentran en la vertiente oriental de la cordillera (de la Torre et al. 2006). El resto del hábitat disponible por encima de los 3000 m s.n.m. en Ecuador, unos 8000 km2, han sido transformados por intervención humana (Hofstede et al. 2002). Esta pérdida de hábitat en Ecuador, representa una tasa de deforestación del 2% anual entre 2005 y 2010, la más alta de todos los países andinos (Tejedor Garavito et al. 2012). Estimaciones más actualizadas, contrastan en la cantidad porcentual de pérdida de bosques montanos y páramos en el área de distribución del tapir andino en Ecuador, por cambio en el uso del suelo y cambio climático, del 2% (Mestanza-Ramón et al. 2021) al 17% (Ortega-Andrade et al. 2015).

Los datos de densidad poblacional del tapir andino son escasos y relativamente antiguos, tanto en Ecuador (Downer 1996; Castellanos 2013) como en Colombia (Acosta et al. 1996; Lizcano y Cavelier 2000b). Los datos de radio collares obtenidos en páramos de Ecuador dieron densidades que variaban entre 0.17 y 0.29 individuos/km2 (Downer 1996; Castellanos 2013). En el caso de Colombia, la información procedía del análisis de huellas en páramos y las estimaciones de densidad fueron parecidas a las registradas en Ecuador, de 0.18 a 0.25 individuos/km2 (Acosta et al. 1996; Lizcano y Cavelier 2000b). Si bien la metodología de radio collares GPS es robusta (O’Connell et al. 2011), implica dificultades logísticas, no está exenta de dificultades éticas por las técnicas de captura y manejo de individuos (Downer 1996; Castellanos 2013), y además es costosa (O’Connell et al. 2011).

Las estimaciones generadas por registros indirectos son pocos robustas, implican tiempo de campo y personal capacitado para la toma de datos (Acosta et al. 1996; Lizcano y Cavelier 2000b). En este sentido, las técnicas de fototrampeo se han mostrado enormemente eficaces para obtener datos informativos (Rovero y Marshall 2009) y sin las limitaciones de las técnicas de radio collares y de radios tracking (Efford 2004). Las estimaciones disponibles para el tapir andino se llevaron a cabo en un solo tipo de hábitat, páramo o bosque montano (Acosta et al. 1996; Downer 1996; Lizcano y Cavelier 2000a; Castellanos 2013), lo cual no permite saber si existen diferencias de densidad de tapir andino entre sus principales hábitats. Downer (1996) registró el uso diferenciado de hábitat del tapir andino en el Parque Nacional Sangay, Ecuador, en un 80% para los bosques montanos, mientras que el páramo fue utilizado en el 20% restante. Sin embargo, existen discrepancias sobre estos datos, dado que otro autore sugiere que el tapir andino usa preferentemente el páramo (Castellanos 2013).

Además de un uso de hábitat diferenciado, existen otros factores clave para explicar la densidad del tapir andino, como son la interacción negativa con depredadores, como el puma (Puma concolor) y el oso andino (Tremarctos ornatus) (Downer 1996), la bien conocida relación inversa entre el tamaño promedio de los individuos con su densidad (Damuth 1981) y la existencia de perturbaciones antrópicas (Acosta et al. 1996). La detectabilidad del tapir varía no solo con la abundancia, sino también con su actividad que está asociada con el hábitat, el cual es usado también de forma diferencial por los depredadores, pero también por animales exóticos introducidos, como los perros ferales (Acosta et al. 1996; Lizcano y Cavelier 2000b, b; Lizcano et al. 2002; Zapata-Ríos y Branch 2016; Mena et al. 2020). Determinar si existen diferencias significativas en la densidad poblacional del tapir andino entre sus dos principales hábitats es algo prioritario para la planificación de estrategias de conservación de una especie clave en estos ecosistemas amenazados. Para ello, es necesario utilizar variables relacionadas con los condicionantes naturales, pero también con otras que puedan indicar la existencia de perturbaciones antrópicas, como se ha hecho para modelizar la distribución, estado de conservación y ocupación de otros grandes ungulados y carnívoros (Ortega-Andrade et al. 2015; Zapata-Ríos y Branch 2018; Mena et al. 2020; Mestanza-Ramón et al. 2021). El objetivo de nuestro trabajo es estimar la densidad poblacional del tapir andino en el noreste de los Andes de Ecuador con énfasis en la variación y preferencia entre sus dos hábitats principales: bosque montano y páramo; así como detectar aquellos factores ambientales y relacionados con las perturbaciones antrópicas que afectan su ocupación (y) y detectabilidad (p). Se hipotetiza que la densidad y ocupación del tapir andino es mayor en el bosque montano que en páramo dado que la productividad y la oferta de recursos nutricionales es mayor en este último hábitat (Downer 2001; Tejedor Garavito et al. 2012).

Material y métodos

Área de estudio

El estudio se realizó en cuatro localidades de la vertiente nororiental de los Andes ecuatorianos: Monte-Olivo, Oyacachi y Río Cedro (ubicadas en el Parque Nacional Cayambe-Coca, PNCC), y Cuyuja (en la Reserva Ecológica Antisana, REA) (Fig. 1). Monte-Olivo y Oyacachi son páramos (ecosistema de herbazal de páramo), mientras Cuyuja y Río Cedro son bosques montanos (ecosistema de Bosque siempreverde montano alto del Norte de la Cordillera Oriental de los Andes).  

El ecosistema de páramo es heterogéneo e incluye planicies de alta montaña (páramo herbáceo), páramo de rosetal (almohadillas), páramo arbustivo y páramo de frailejones (Baquero et al. 2004; Tejedor Garavito et al. 2012; Ministerio del Ambiente del Ecuador 2013). De manera similar, los bosques montanos presentan una notable heterogeneidad y están conformados por bosque de neblina, montano y montano alto (Baquero et al. 2004; Tejedor Garavito et al. 2012; Ministerio del Ambiente del Ecuador 2013). En cada localidad, se seleccionó un área de 10 x 10 km (100 km²) representativa de hábitats de páramo y bosque montano, sin evidencias aparentes de perturbación antrópica. Las parcelas estaban separadas entre 5 a 10 km para garantizar independencia espacial. El tamaño de las parcelas respondió a características ecológicas y de comportamiento del tapir andino, como su ámbito hogareño que fue estimado entre 2.5 a 3.5 km2 (Lizcano y Cavelier 2004b). Las coordenadas geográficas del centroide de cada parcela y su altitud promedio fueron, para ecosistema de páramo: Monte Olivo (00°20’ N, 77°49’W, 3563 msnm) y Oyacachi (00°13’ S, 78°02’ W, 3555 msnm); para ecosistema de bosque montano: Cuyuja (00°28’ S, 78°03’W, 2966 msnm) y Río Cedro (00°15’ S, 77°54’ W, 2758 msnm). La temperatura media mensual en el páramo es de 6 °C y en bosque montano de 9.5 °C. La precipitación media mensual durante los meses de muestreo fue 117 mm en páramo y 150.6 mm en bosque montano (Ministerio del Ambiente del Ecuador 2013). Las localidades de Oyacachi y Cuyuja presentan asentamientos humanos a una distancia aproximada de 10 km en línea recta del borde de la parcela.

 

Mapa de área de estudio.

 

Figura 1. Mapa de área de estudio. Se incluye las dos regiones de estudio: a. Parque Nacional Cayambe Coca, b. Reserva Ecológica Antisana. Los cuadrantes negros indican las localidades de muestreo: 1. Monte Olivo, 2. Oyacachi, 3. Río Cedro, 4. Cuyuja. Los puntos negros de cada malla corresponden a las ubicaciones concretas de las cámaras trampa.

Figure 1. Map of the study area. The two study areas are included: a. Cayambe Coca National Park, b. Antisana Ecological Reserve. The black quadrants indicate the sampling localities: 1. Monte Olivo, 2. Oyacachi, 3. Río Cedro, 4. Cuyuja. In the grid, the black dots correspond to the specific locations of the camera traps.

Toma de datos

Mediante fototrampeo evaluamos la abundancia del tapir andino entre septiembre de 2011 y febrero de 2013 (18 meses). En cada parcela de 10 x 10 km establecimos una malla de 100 celdas de 1 x 1 km. Seleccionamos al azar 40 de estas celdas y colocamos una cámara trampa en cada una de ellas (Bushnell Trophy Cam, 119456 C) separadas por al menos 2.5 km de distancia entre ellas. Esta distancia mínima se basó en las estimaciones del ámbito hogareño del tapir andino (Lizcano y Cavelier 2004b). Las cámaras permanecieron en cada sitio, en promedio, 70.8 días SD ± 8.3 y se mantuvieron activas durante 24 horas. Se tomaron tres fotografías por evento de captura a intervalos de tres minutos. Para minimizar la probabilidad de sobrestima por recapturas incidentales se consideraron eventos independientes de captura fotográfica las fotografías que cumplían los siguientes criterios: a. fotografías consecutivas de distintos individuos de la misma especie, b. fotografías no consecutivas de individuos de la misma especie (O’Brien et al. 2003) y c. fotografías consecutivas de individuos de la misma especie tomadas con al menos 60 minutos de diferencia (O’Brien et al. 2003; Jiménez et al. 2010; Carbajal-Borges et al. 2014). Este planteamiento es más conservador que otras propuestas metodológicas, como O’Brien et al. (2003), quienes consideraron exclusivamente fotografías consecutivas de individuos de la misma especie tomadas con al menos 30 minutos de diferencia.

Los factores relacionados con la ocupación (y) y la densidad (p) del tapir andino fueron estimados mediante modelos de ocupación (MacKenzie y Bailey 2004; Mackenzie y Royle 2005), con variables de hábitat y de incidencia de perturbación antrópica (Tabla 1). Las variables fueron evaluadas a dos escalas, (a) local (estación de fototrampeo), que comprende una distancia radial de 20 m alrededor de cada cámara trampa y (b) de paisaje entendida, como el área total de cada parcela de muestreo de 100 km2 (Tabla 1). A escala de paisaje estimamos la distancia más corta a zonas pobladas, fuentes de agua y vías como subrogados de perturbación antrópica (Tabla 1). Las variables de hábitat se evaluaron a la escala local, utilizando datos de presencia de carnívoros obtenidos mediante las mismas cámaras trampa. Para el análisis, se consideraron únicamente eventos de captura independientes. Los carnívoros fueron incluidos en los modelos como potenciales depredadores (Downer 1996; Rodriguez et al. 2014; Pisso-Florez et al. 2021). Las medidas de la temperatura ambiente se obtuvieron de las cámaras trampa. La elevación se midió en campo. La precipitación media mensual y pendiente se obtuvieron del mapa de ecosistemas del ecuador (Ministerio del Ambiente del Ecuador 2013). La pendiente se clasificó en tres categorías según su porcentaje de inclinación: ligera = 1-8% (a); moderada = 9-40% (b); fuerte = +40% (c).  Imágenes espectrales LANSAT-8 sirvieron para estimar el índice de vegetación de diferencia normalizada (NDVI) como un estimador de la producción primaria en cada localidad de fototrampeo con un tamaño de píxel de 30 m. Las variables altamente correlacionadas (r > 0.5) se omitieron en la elaboración de nuestros modelos.

 

Tabla 1. Variables de hábitat y perturbación antrópica medidas en los Andes ecuatorianos para estimar la ocupación (y) y detectabilidad (p) del tapir andino. Se incluye el rango de valores de las variables, escala en la que cada variable fue medida y fuente de los datos. El asterisco muestra las variables usadas en los modelos definitivos.

Table 1. Habitat and anthropogenic disturbance variables measured in the Ecuadorian Andes to model the Andean tapir occupancy (y)) and detectability (p). We also presented the range of variable values, scale at which each variable was measured and source of data. The asterisk shows the variables used in the final models.

Variable

Abreviatura

Tipo de variable

Rango

Escala1

Fuente de datos

Presencia de carnívoros

Crv*

Hábitat

0 - 4

EF

Cámara

Esfuerzo de muestreo

Effort*

Hábitat

49 - 99 días

EF

Cámara

Elevación

EVm*

Hábitat

1702 - 4028 msnm

E-F

Medición de campo

Precipitación media mensual

Mm

Hábitat

90.68 - 185.87 mm

E-F

Mapa de ecosistemas de Ecuador (Ministerio del Ambiente del Ecuador 2013)

Temperatura

Hábitat

-2.78 - 15.56 °C

E-F

Cámara

Pendiente

Slope

Hábitat

tres categorías

E-F

Mapa de ecosistemas de Ecuador (Ministerio del Ambiente del Ecuador 2013)

Índice de vegetación de diferencia normalizada

NDVI*

Hábitat

(-) 1 a 1

E-F

Imagen espectral LANSAT-8

Distancia más cercana a fuentes de agua

RIm*

Hábitat

0.004-0.99 km

Paisaje

Military Geographic Institute, 2011; Base scale 1:50,000

Distancia más cercana a zonas pobladas

PAm*

Perturbación antrópica

1.20 - 12.05 km

Paisaje

Instituto Geográfico Militar, 2011, Base escala 1:50.000

Distancia más cercana a caminos y vías

VIm*

Perturbación antrópica

0.57 - 13.91 km

Paisaje

Instituto Geográfico Militar, 2011, Base escala 1:50.000

1 E-F = Estación de fototrampeo, 20 m de distancia radial de la cámara trampa, Paisaje = 100 km2 área de estudio de cada localidad, * = Variables no correlacionadas y usadas en los modelos / 1 E-F = Photo-trapping station, 20 m radial distance from camera trap, Landscape = 100 km2 study area of each location, * = Uncorrelated variables used in models.

 

Análisis de datos

Estimamos la densidad del tapir andino mediante el Modelo de Encuentros Aleatorios (MEA) (Rowcliffe et al. 2008). El MEA no requiere la identificación de individuos para estimar la densidad de poblaciones de fauna silvestre y se basa en tres supuestos: a. El modelo se construye con la tasa de encuentro de individuos asumiendo que los movimientos son aleatorios e independientes unos de otros, b. las fotografías representan contactos independientes entre individuos y cámaras, y c. la población es cerrada (Rowcliffe et al. 2008). La población cerrada asume que, durante un muestreo breve, se minimiza la rotación de la población objetivo por nacimientos, muertes, inmigración y emigración (Karanth et al. 2011; Mandujano Rodríguez 2011). La densidad poblacional (D) se calculó como:

 

 

Donde, y = número de imágenes  independientes, t = esfuerzo de muestreo (trampas/noche), v = rango aproximado de movimiento diario de la especie (Carbone et al. 2005; Manzo et al. 2012), r = distancia de detección  y ϴ = arco de detección de la cámara (radianes) (Rowcliffe et al. 2008). Estimamos el parámetro (v) rango diario de movimiento del tapir andino mediante el Modelo Alométrico (MA) propuesto por Carbone et al. (2005), el cual realiza una aproximación teórica entre el ámbito hogareño y la disponibilidad de alimento. Este supuesto es usado para comparar la relación entre los espacios bidimensionales y tridimensionales usados por los mamíferos (Carbone et al. 2005; Rovero y Marshall 2009). Sin embargo, el parámetro (v) rango de movimiento diario así calculado presenta ciertas incertidumbres. Para evaluar la sensibilidad de la densidad al parámetro de rango de movimiento diario del tapir andino (v), se calculó la densidad utilizando tres valores de (v) reportados en estudios previos, ordenados de menor a mayor: a. 0.964 km (Castellanos 2013), b. 7 km (estimado en este estudio), y c. 14.6 km (Lizcano y Cavelier 2004b).

Para identificar la contribución de los factores relacionados con la presencia del tapir andino se usaron, como ya hemos indicado, variables de hábitat y de perturbación antrópica (Tabla 1). Se construyeron modelos de ocupación agrupando los datos en cada uno de los dos tipos de hábitats evaluados, bosque montano y páramo. Se estandarizaron todas las variables continuas. Se generaron modelos candidatos para la ocupación (y) y la detectabilidad (p) de una temporada y una especie (Andrade-Ponce et al. 2021). Para ello se construyeron   modelos para seleccionar la mejor estructura de los efectos aleatorios mediante el estimador de Máxima Verosimilitud Restringida (REML); posteriormente se generó un  sub-set de modelos posibles; finalmente se combinaron para generar una nueva selección de los mejores modelos basado en el Criterio de Información de Akaike corregido para muestra pequeñas (<2AICc) y Akaike peso (wi) (Andrade-Ponce et al. 2021). Mediante el paquete AICcmodavg (Mazerolle 2023), se evaluó el ajuste (P) y el parámetro de sobredispersión () con 1000 réplicas de arranque paramétrico. Cuando > 1, se usó para inflar los errores estándar de los parámetros estimados (Burnham y Anderson 2002; MacKenzie y Bailey 2004). Todos los análisis se realizaron con el paquete Unmarked (Fiske y Chandler 2011) en RStudio versión 4.4.0 (R Core Team 2023).

Finalmente, se estimó el esfuerzo de muestreo multiplicando el número total de trampas cámara usadas por el total de días de muestreo encada sitio (Lira-Torres y Briones-Salas 2012). Este es entendido como un indicador de la intensidad y el tiempo de la actividad de seguimiento llevada a cabo con cámaras trampa en un área determinada (Lira-Torres y Briones-Salas 2012; Mandujano Rodríguez 2024).

Resultados

Densidad

En los 18 meses de seguimiento el esfuerzo de muestreo alcanzó las 5192 trampas/noche (𝝁 64.9, SD±11.1) en bosque montano y 6131 trampas/noche (𝝁 76.6, SD±19.3) en páramo. Conseguimos 220 capturas independientes de tapir andino, 179 en bosque montano y 41 en páramo. La densidad poblacional estimada de tapir andino en bosque montano usando el MEA fue 0.24 individuos/km2; (23.55 individuos/100km2), y en páramo fue 0.12 individuos/km2; (11.59 individuaos/100km2) (Fig. 2). El análisis de sensibilidad indicó que un aumento en el rango de movimiento diario del tapir andino de v 7 km a v = 14 km no tuvo un efecto significativo en la estimación de la densidad. No obstante, al utilizar un valor inferior a 7 km (v = 0.961 km), se observó un incremento significativo en la densidad.

 

Densidad estimada para tapir andino usando el parámetro v = rango aproximado de movimiento diario: v =7 km estimado por este estudio; D = Densidad estimada; IC = Intervalo de confianza (líneas punteadas)

 

Figura 2. Densidad estimada para tapir andino usando el parámetro v = rango aproximado de movimiento diario: v =7 km estimado por este estudio; D = Densidad estimada; IC = Intervalo de confianza (líneas punteadas).

Figure 2. Estimated density for Andean tapir using the parameter v = approximate range of daily movement: v =7 km estimated by this study; D = Estimated density; CI = Confidence Intervals (dotted lines).

 

Ocupación de hábitat

Las variables predictoras seleccionadas para la ocupación variaron según el hábitat (Tabla 2). La ocupación promedio (yˆ) estimada para el tapir andino presentó diferencias significativas entre hábitats, siendo mayor en el bosque montano (Tabla 3). En este hábitat la ocupación estuvo positivamente asociada con la presencia de carnívoros, mientras que en el páramo se relacionó con la cobertura vegetal (Tabla 3). Por otro lado, la detectabilidad promedio () estimada también presentó diferencias entre hábitats. En el bosque montano, se relacionó de forma positiva con la cobertura vegetal, aunque fue inferior al 0.20 (Tabla 3). En el páramo, se mantuvo constante y no estuvo influida por ninguna de las variables evaluadas (Tabla 3). El análisis de bondad de ajuste indica que el modelo candidato con el menor <2AICc se ajusta bien a los datos: bosque montano (P > 0.57, = 1), páramo (P = 0.4, = 1.09).

 

Tabla 2. Modelos candidatos para tapir andino. Crv presencia de carnívoros; NDVI cobertura vegetal; VIm distancia más cercana a caminos y vías; Evm elevación y Pam distancia más cercana a zonas pobladas; (.) indica que no existe una variable asociada para la Ψ o p.

Table 2. Candidate models for Andean tapir. Crv presence of carnivores; NDVI vegetation cover; VIm closest distance to roads and tracks; Evm elevation and Pam, closest distance to populated areas; (.) indicates that there is no associated variable for Ψ or p.

Tipo de hábitat

Localidades

Modelos

K

AICc

∆AICc

AICcWi

Bosque montano

Cuyuja Río Cedro

Ψ(Crv) p(NDVI)

4

725.27

0.00

0.22

Ψ(Vim) p(NDVI)

4

725.57

0.31

0.19

Ψ(Evm) p(NDVI)

4

725.83

0.57

0.17

Páramo

Monte Olivo Oyacachi

Ψ(NDVI) p(.)

3

308.81

0

0.47

Ψ(NDVI) p(NDVI)

4

310.12

1.32

0.24

Ψ(Pam) p(NDVI)

4

311.84

3.03

0.1

 

 

Tabla 3. Coeficientes β estimado para el mejor modelo de ocupación y detectabilidad en cada hábitat. Ocupación (ψ^) y detectabilidad (p^) media estimada. Crv, presencia de carnívoros; NDVI cobertura vegetal.

Table 3. β coefficients for the best model for occupancy and detectability in each habitat. Estimated mean occupancy (ψ^) and detectability (p^). Crv abundance of carnivores; NDVI vegetation cover.

Tipo de hábitat

Ψ mejor Modelo

Crv

NDVI

ψ^

± SE

β (±SE)

β (±SE)

Bosque montano

Ψ (Crv)

0.63 (0.13)

0.77

0.11

Páramo

Ψ (NDVI)

0.79 (0.16)

0.42

0.14

 

p mejor Modelo

NDVI

p^

± SE

β (±SE)

Bosque montano

p (NDVI)

0.58 (0.04)

0.17

0.03

Páramo

Discusión

Densidad

Nuestra aproximación con fototrampeo ha demostrado ser efectiva para detectar al tapir andino, una especie rara y esquiva (Cruz et al. 2014; Zapata-Ríos y Branch 2016; Schank et al. 2017, 2019; Nakashima et al. 2018). Nuestras estimaciones con el Modelo de Encuentros Aleatorios proporcionó resultados similares a los obtenidos con técnicas como la telemetría, que logísticamente es más complicada y costosa de implementar, y con técnicas indirectas (Acosta et al. 1996; Downer 1996; Lizcano y Cavelier 2000b; Castellanos 2013) (Tabla A1 del Anexo). El MEA permitió estimar la densidad poblacional del tapir andino sin la necesidad de identificar individuos algo especialmente complicado para esta especie (Rowcliffe et al. 2008; Rovero y Marshall 2009; Manzo et al. 2012; Carbajal-Borges et al. 2014).

Pese a que la densidad fue mayor en bosque montano, el cual es considerado un hábitat crítico y con mayor abundancia de tapir andino, por ofrecer mayor cantidad de alimento y refugio que el páramo (Downer 2001; Bermúdez y Reyes Puig 2011), la densidad estimada para tapir andino no mostró diferencias estadísticamente significativas entre estos hábitats (Fig. 2). Consideramos que este resultado  puede ser consecuencia de las  migraciones altitudinales anuales del tapir andino entre bosque montano y páramo causadas por la estacionalidad climática (Acosta et al. 1996; Downer 1996). En estudios previos realizados en hábitats similares en Ecuador (Downer 1996; Castellanos 2013) y Colombia (Acosta et al. 1996; Lizcano y Cavelier 2000b) se encontraron densidades de tapir andino similares a las reportados aquí (Tabla A1 del Anexo).

En un estudio realizado en el páramo de Papallacta, Ecuador, se detectaron siete individuos en un área de 1442 ha, lo que supone una densidad de 0.29 individuos/km2 (Castellanos 2013)  que es algo mayor a la reportada en este estudio y en otros  (Tabla A1 del Anexo). Aunque las técnicas de muestreo son diferentes, creemos que las diferencias en la densidad se deben a las características de las localidades evaluadas. Las densidades estimadas por Downer (1996) y Acosta et al. (1996) no consideran diferencias entre hábitats y consideran el páramo y el bosque montano como una sola área de muestreo. Sin embargo, la densidad de tapir andino obtenida por Lizcano y Cavelier (2000a) solo en bosque montano son similares a las registradas por Downer (1996) y Acosta et al. (1996) (Tabla A1 del Anexo). Estos resultados sugieren una mayor densidad del tapir andino en los bosques montanos (Downer 1996; Padilla et al. 2010), lo cual estaría relacionado con la mayor productividad del bosque, con la oferta de recursos alimenticios y con la protección contra depredadores (Lizcano y Cavelier 2000b; Downer 2001; Bermúdez y Reyes Puig 2011).

Si bien el MEA es efectivo para estimar la densidad del tapir andino (Manzo et al. 2012), persiste la incertidumbre asociada al rango de movimiento diario de la especie (v; km) (Carbajal-Borges et al. 2014). Esta variación en la densidad del tapir andino como efecto del parámetro (v; km) se muestran en este estudio (Fig. A1 del Anexo). Un efecto similar fue reportado en el caso del tapir mesoamericano Tapirus bairdii (Carbajal-Borges et al. 2014). Esta incertidumbre es esperable, dado que un rango de movimiento diario reducido incrementa la probabilidad de detección de la especie en las cámaras trampa. Sin embargo, el rango de movimiento diario real del tapir andino sigue siendo difícil de determinar con precisión.

Uno de los valores usados para el análisis de sensibilidad de 14.4 km/día (Lizcano y Cavelier 2004b), no es representativo de la población de tapir andino, dado que es un resultado que corresponde a un solo individuo en seis meses de muestreo. Sabemos que este parámetro varía con el tipo de hábitat, género, edad del individuo y estacionalidad (Lizcano y Cavelier 2004b; Castellanos 2013). Otros autores obtuvieron estimaciones más robustas del rango de movimiento diario para otras especies no relacionadas con el tapir andino, basadas en radio-tracking y modelo alométrico, con un número mayor de individuos muestreados 4 a 14, respectivamente (Rovero y Marshall 2009; Manzo et al. 2012). Obtener mejores estimaciones sobre el rango de movimiento diario para el tapir andino permitirá despejar esta duda y mejorar la estimación de su densidad.

Variables que afectan la presencia del tapir andino

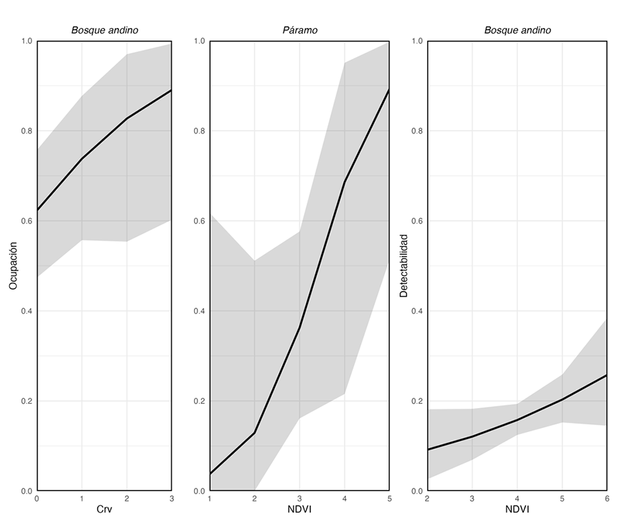
Nuestros modelos de ocupación muestran que los factores determinantes varían entre hábitats. En el bosque montano, la presencia de carnívoros y la cobertura vegetal tienen una relación positiva con su ocupación y detectabilidad. Mientras que, en el páramo, la ocupación está relacionada positivamente con la cobertura vegetal, y, la detectabilidad no se relacionó con ninguna variable evaluada (Fig. 3).

 

Ocupación y detectabilidad del tapir andino en bosque montano y páramo estimados con nuestros modelos. Crv, presencia de carnívoros; NDVI, cobertura vegetal.

Figura 3. Ocupación y detectabilidad del tapir andino en bosque montano y páramo estimados con nuestros modelos. Crv, presencia de carnívoros; NDVI, cobertura vegetal.

Figure 3. Occupation and predictive detectability of Andean tapir in montane forest and páramo. Crv, presence of carnivores; NDVI, vegetation cover.

 

A pesar de que la relación positiva entre la ocupación del tapir andino y la presencia de carnívoros en el bosque montano parece contradictoria, los registros de depredación del tapir andino son escasos. Peyton (1980) documentó la depredación de un tapir andino por oso andino en Perú, mientras que Downer (1996) informó de la presencia de pelos de tapir andino en las heces de oso andino y puma. Rodríguez y colaboradores (2014) registraron en una cámara trampa el ataque de un oso andino a un tapir andino adulto. En Colombia se detectaron  cicatrices de garras en individuos de tapir andino (Pisso-Florez et al. 2021) . Los bosques montanos son altamente productivos en recursos (alimento, refugio, saladeros y agua), tanto para el tapir andino (Lizcano y Cavelier 2000b, 2004a; Downer 2001) como para otras especies de grandes mamíferos (Zapata-Ríos y Branch 2018). Esto explicaría el efecto positivo de la presencia de carnívoros, los cuales se alimentan de otros herbívoros, y no solo del tapir andino.

Esta mayor productividad del bosque se refleja en la variable de cobertura vegetal como un predictor positivo de la detectabilidad en el bosque y en la ocupación del tapir andino en el páramo (Fig. 3). Esta relación se debe probablemente a la elevada demanda energética del tapir andino (Bermúdez y Reyes Puig 2011) y a la disponibilidad de especies vegetales de las que se alimenta (Acosta et al. 1996). En el páramo, la relación con la cobertura vegetal está sujeta a la existencia de parches de bosque, ya que estos ofrecen al tapir andino sitios seguros de protección y refugio (Acosta et al. 1996; Downer 1996; Padilla et al. 2010). Nuestros resultados son consistentes con los de Downer (1996), quien registró un uso promedio del tapir andino en paramo superior al 6% frente al 29% del bosque montano. Sin embargo, en Ecuador, se reportó el uso exclusivo del páramo herbáceo por el tapir andino (Castellanos 2013), pese a las limitaciones de productividad y refugio de este hábitat .

Estudios realizados en Ecuador han demostrado que la presencia de perros ferales altera el patrón de actividad y reduce la abundancia del tapir andino (Tapirus pinchaque) (Zapata-Ríos y Branch 2016). Castellanos et al. (2022) documentaron un caso de ataque de perros ferales, con transmisión de enfermedades como la rabia, que resultó en la muerte de un individuo. En Colombia, se ha reportado el ataque de perros domésticos a un tapir andino (Cepeda-Duque et al. 2024). La presencia de perros ferales y domésticos en el área de distribución de esta especie representa una amenaza creciente, con impactos potenciales en su ecología y viabilidad poblacional, particularmente en zonas cercanas a centros poblados. No obstante, en este estudio no se detectó la presencia de estos animales. En Perú, la ocupación del tapir andino estuvo  afectada de  forma positiva con la distancia a carreteras y negativamente con la topografía (Mena et al. 2020). En este estudio no se detectó una condición similar, probablemente por el nivel de aislamiento y buen estado de conservación de las áreas evaluadas. Es razonable esperar que la ocupación del tapir andino sea mayor mientras incrementa la distancia a vías y poblados, condición derivada de ser una especie tímida, solitaria y que frecuenta zonas de bosque y páramos en buen estado de conservación (Padilla et al. 2010).

Implicaciones para la conservación

La densidad estimada en este estudio y por otros autores sugieren que esta especie es naturalmente rara, con densidades poblacionales bajas.  En comparación con la densidad estimada para el tapir amazónico Tapirus terrestris de 0.8 individuo/km2 (Ferreguetti et al. 2017) y tapir mesoamericano con 0.39 individuo/km2 (Botello et al. 2017). Los resultados, también muestran que las variables explicativas como la presencia de carnívoros y la cobertura vegetal son importantes e influyen positivamente en la ocupación y detectabilidad del tapir andino respectivamente.  Esto muestra  la importancia de las áreas protegidas como refugios para el tapir andino y la fauna silvestre (Ortega-Andrade et al. 2015; Mestanza-Ramón et al. 2021). También pone de manifiesto la susceptibilidad de la especie a cambios drásticos en el uso del suelo, la deforestación, el avance de la frontera agrícola y la presencia de especies invasoras, como perros ferales (Ortega-Andrade et al. 2015; Zapata-Ríos y Branch 2016, 2018). La incidencia de factores que afectan la ocupación y detectabilidad del tapir andino que varían espacial y temporalmente subraya la necesidad de estrategias de conservación adaptativas a las distintas realidades.

Conclusiones

Este estudio contribuye a la comprensión de la ecología y demografía del tapir andino en los Andes del norte de Ecuador en sus dos principales hábitats. Si bien no se observaron diferencias significativas entre hábitats, nuestros datos subrayan la baja densidad del tapir andino y su dependencia de áreas bien conservadas. En términos de ocupación, la presencia de carnívoros afecta positivamente en el bosque montano, mientras que la cobertura vegetal lo hace en el páramo. Las densidades de tapir andino indican el valor de las áreas protegidas como refugios críticos para el tapir andino y la fauna silvestre asociada. Finalmente se señalan los aspectos que requieren ser abordados para afinar, corregir y garantizar la efectividad de las medidas de manejo y conservación: a) evaluar la incertidumbre del rango diario de movimiento del tapir andino; b) evaluar las variaciones demográficas en el tiempo; c) involucrar a las comunidades dentro de su área de distribución en monitoreo del tapir andino; d) campañas de manejo y esterilización de perros domésticos en centros poblados y e) remoción de perros sin dueños en las áreas de distribución del tapir andino.

Contribución de los autores

Conceptualización: Carlos Urgilés-Verdugo; Metodología: Carlos Urgilés-Verdugo; Investigación: Carlos Urgilés-Verdugo, Freddy Gallo-Viracocha; Análisis formal: Carlos Urgilés-Verdugo, Michael S. Esbach; Redacción-borrador inicial: Carlos Urgilés-Verdugo; Curación de datos: Carlos Urgilés-Verdugo, Michael S. Esbach; Redacción-Revisión y edición: Carlos Urgilés-Verdugo, Freddy Gallo-Viracocha, Michael S. Esbach, Adrián Escudero; Obtención de fondos: Carlos Urgilés-Verdugo; Administración del proyecto: Carlos Urgilés-Verdugo; Supervisión: Adrián Escudero, Michael S. Esbach.

Disponibilidad de datos

Los datos de este estudio están disponibles en el repositorio digital Zenodo (https://doi.org/10.5281/zenodo.13760478).  

Financiación, permisos requeridos, potenciales conflictos de interés y agradecimientos

Este proyecto de investigación se realizó gracias al apoyo de EcoFondo-Ecuador. Agradecemos al Ministerio del Ambiente del Ecuador (MAE) por la extensión de los permisos de investigación (047-10-IC-FAU / FLO-DPN / MA y 014-IC-FAU / -DPS / MA); a Leopoldo Gómez, Abraham Romero y Ricardo Urcuango, guardaparques del MAE, por el apoyo proporcionado. También agradecemos a Jorge y Arturo Benavidez y Leopoldo Gómez por su apoyo en la comunidad de Cuyuja; a la Fundación para la Supervivencia Cofán (CSF) y sus guardaparques por su apoyo en la comunidad de Monte Olivo; a Norberto Parión y Fabian Ascanta por su apoyo en la comunidad de Oyacachi. Los comentarios de Galo Zapata-Ríos, Diego Lizcano y Carlos Iván Espinosa mejoraron las revisiones iniciales de este manuscrito.

El autor y los coautores declaran que no tienen ningún conflicto de intereses.

Referencias

Acosta, H., Cavelier, J., Londoño, S. 1996. Aportes al Conocimiento de la Biología de la Danta de Montaña, Tapirus pinchaque, en los Andes Centrales de Colombia. Biotropica 28: 258-266. https://doi.org/10.2307/2389080

Andrade-Ponce, G., Cepeda-Duque, J.C., Mandujano, S., Velásquez-C, K.L., Gómez-Valencia, B., Lizcano, D.J. 2021. Modelos de ocupación para datos de cámaras trampa: de los conceptos a la interpretación. Mammalogy Notes 7: 1-23. https://doi.org/10.47603/mano.v7n1.200

Baquero, F., Sierra, R., Ordóñez, L., Tipán, M., Espinosa, L., Rivera, M.B., Soria, P. 2004. La vegetación de los Andes del Ecuador. Memoria explicativa de los mapas de vegetación: potencial y remanente a escala 1:250.000 y del modelamiento predictivo con especies indicadoras. EcoCiencia/CESLA/Cor- poración EcoPar/MAG SIGAGRO/CDC - Jatun Sacha/División Geográfica - IGM, Quito.

Bermúdez, D.K., Reyes Puig, J.P. 2011. Dieta del tapir de montaña (Tapirus pinchaque) en tres localidades del corredor ecológico Llangantes – Sangay. Boletín Técnico, Serie Zoológica 10 (7): 1-13. https://journal.espe.edu.ec/ojs/index.php/revista-serie-zoologica/article/view/1444

Botello, F., Romero-Calderón, A.G., Sánchez-Hernández, J., Hernández, O., López-Villegas, G., Sánchez-Cordero, V. 2017. Densidad poblacional del tapir centroamericano (Tapirella bairdii) en bosque mesófilo de montaña en Totontepec Villa de Morelos, Oaxaca, México. Revista Mexicana de Biodiversidad 88: 918-923. https://doi.org/10.1016/j.rmb.2017.10.016

Burnham, K.P., Anderson, D.R. 2002. Model Selection and Inference: A Practical Information-Theoretic Approach. 2nd ed. Springer-Verlag, New York.

Carbajal-Borges, J.P., Godínez-Gómez, O., Mendoza, E. 2014. Density, Abundance and Activity Patterns of the Endangered Tapirus Bairdii in One of its Last Strongholds in Southern Mexico. Tropical Conservation Science 7: 100-114. https://doi.org/10.1177/194008291400700102

Carbone, C., Cowlishaw, G., Isaac, N.J.B., Rowcliffe, J.M. 2005. How Far Do Animals Go? Determinants of Day Range in Mammals. The American Naturalist 165: 290-297. https://doi.org/10.1086/426790

Castellanos, A. 2013. Iridium/GPS Telemetry to Study Home Range and Population Density of Mountain Tapirs in the Rio Papallacta Watershed, Ecuador. Tapir Conservation (The Newsletter of the IUCN/SSC Tapir Specialist Group) 22 (31): 20-25. https://iucntsg.wpengine.com/wp-content/uploads/2017/03/Tapir-Conservation-News-Dec-2013.pdf

Castellanos, A.X., Brito, J., Castellanos, F. 2020. Registros de Distribución de Tapir Andino, Tapirus pinchaque en el occidente de Ecuador. Boletín Técnico, Serie Zoológica 15 (16): 1-4. https://journal.espe.edu.ec/ojs/index.php/revista-serie-zoologica/article/view/1629

Castellanos, A., Dadone, L., Ascanta, M., Pukazhenthi, B. 2022. Andean tapir (Tapirus pinchaque) social groups and calf dispersal patterns in Ecuador. Boletín Técnico, Serie Zoológica 17: 09-14. https://journal.espe.edu.ec/ojs/index.php/revista-serie-zoologica/article/view/2858

Cepeda-Duque JC, Arango-Correa E, Frimodt-Møller C, Lizcano DJ. 2024. Howling shadows: First report of domestic dog attacks on globally threatened mountain tapirs in high Andean cloud forests of Colombia. Neotropical Biology and Conservation 19:25-33. https://doi.org/10.3897/neotropical.19.e117437

Cruz, P., Paviolo, A., Bó, R.F., Thompson, J.J., Di Bitetti, M.S. 2014. Daily activity patterns and habitat use of the lowland tapir (Tapirus terrestris) in the Atlantic Forest. Mammalian Biology 79: 376-383. https://doi.org/10.1016/j.mambio.2014.06.003

Damuth, J. 1981. Population sensity and body size in animmals. Nature 290: 699-700. https://doi.org/10.1038/290699a0

De la Torre, L., Muriel, P., Balslev, H. 2006. Etnobotánica en los Andes del Ecuador. En: Moraes, M., Øllgaard, B., Kvist, L.P., Borchsenius, F., Balslev, H. (eds.), Botánica Económica de los Andes Centrales, pp. 246-267. Universidad Mayor de San Andrés, La Paz.

Downer, C.C. 1996. The mountain tapir, endangered ‘flagship’ species of the high Andes. Oryx 30: 45-58. https://doi.org/10.1017/S0030605300021384

Downer, C.C. 2001. Observations on the diet and habitat of the mountain tapir (Tapirus pinchaque). Journal of Zoology 254: 279-291. https://doi.org/10.1017/S0952836901000796

Efford, M. 2004. Density estimation in livetrapping studies. Oikos 106: 598-610. https://doi.org/10.1111/j.0030-1299.2004.13043.x

Ferreguetti, Á.C., Tomás, W.M., Bergallo, H.G. 2017. Density, occupancy, and detectability of lowland tapirs, Tapirus terrestris, in Vale Natural Reserve, southeastern Brazil. Journal of Mammalogy 98: 114-123. https://doi.org/10.1093/jmammal/gyw118

Fiske, I.J., Chandler, R.B. 2011. unmarked: An R Package for Fitting Hierarchical Models of Wildlife Occurrence and Abundance. Journal of Statistical Software 43: 1-23. https://doi.org/10.18637/jss.v043.i10

Hofstede, R., Coppus, R., Mena Vásconez, P., Segarra, P., Wolf, J., Sevink, J. 2002. El estado de conservación de los páramos de pajonal en el Ecuador. ECOTROPICOS (Sociedad Venezolana de Ecología) 15(1): 3-18. https://www.researchgate.net/publication/260423686

Jiménez, C.F., Quintana, H., Pacheco, V., Melton, D., Torrealva, J., Tello, G. 2010. Camera trap survey of medium and large mammals in a montane rainforest of northern Peru. Revista Peruana de Biología 17: 191-196. https://doi.org/10.15381/rpb.v17i2.27

Karanth, K.U., Ullas Karanth, K., Nichols, J.D., Samba Kumar, N. 2011. Estimating Tiger Abundance from Camera Trap Data: Field Surveys and Analytical Issues. In: O’Connell, A. F., Nichols, J.D., Karanth, K.U. (eds.), Camera Traps in Animal Ecology, pp. 97-117. Springer Japan, Tokyo. https://doi.org/10.1007/978-4-431-99495-4_7

Lira-Torres, I., Briones-Salas, M. 2012. Abundancia relativa y patrones de actividad de los mamíferos de los Chimalapas, Oaxaca, México. Acta Zoológica Mexicana (N.S.) 28: 566-585. https://doi.org/10.21829/azm.2012.283859

Lizcano, D.J., Cavelier, J. 2000a. Daily and seasonal activity of the mountain tapir (Tapirus pinchaque) in the Central Andes of Colombia. Zoological Society of London 429-435. https://doi.org/10.1017/S0952836900000182

Lizcano, D.J., Cavelier, J. 2000b. Densidad Poblacional y Disponibilidad de Hábitat de la Danta de Montaña (Tapirus pinchaque) en los Andes Centrales de Colombia1. Biotropica 32: 165-173. https://doi.org/10.1111/j.1744-7429.2000.tb00458.x

Lizcano, D., Cavelier, J. 2004a. Características Químicas de salados y hábitos alimenticios de la Danta de montaña (Tapirus pinchaque Roulin, 1829) en los Andes Centrales de Colombia. Mastozoología Neotropical 11: 193-201.

Lizcano, D.J., Cavelier, J. 2004b. Using GPS Collars to Study Mountain Tapirs (Tapirus pinchaque) in the Central Andes of Colombia. Tapir Conservation (The Newsletter of the IUCN/SSC Tapir Specialist Group) 13 (2): 18-23. https://iucntsg.wpengine.com/wp-content/uploads/2017/03/Tapir-Conservation-News-Dec-2004.pdf

Lizcano, D.J., Pizarro, V., Cavelier, J., Carmona, J. 2002. Geographic distribution and population size of the mountain tapir (Tapirus pinchaque) in Colombia. Journal of Biogeography 29: 7-15. https://doi.org/10.1046/j.1365-2699.2002.00654.x

MacKenzie, D.I., Bailey, L.L. 2004. Assessing the fit of site-occupancy models. Journal of Agricultural, Biological, and Environmental Statistics 9: 300-318. https://doi.org/10.1198/108571104X3361

Mackenzie, D.I., Royle, J.A. 2005. Designing occupancy studies: general advice and allocating survey effort. Journal of Applied Ecology 42: 1105-1114. https://doi.org/10.1111/j.1365-2664.2005.01098.x

Mandujano Rodríguez, S. 2011. Ecología de poblaciones aplicada al manejo de fauna silvestre: cuatro conceptos (N, ʎ, MSY, Pe). Instituto Literario de Veracruz S. C., Veracruz, México.

Mandujano Rodríguez, S. 2024. Índice de abundancia relativa y tasa de encuentro con trampas cámara. Mammalogy Notes 10: 389. https://doi.org/10.47603/mano.v10n1.389

Manzo, E., Bartolommei, P., Rowcliffe, J.M., Cozzolino, R. 2012. Estimation of population density of European pine marten in central Italy using camera trapping. Acta Theriologica 57: 165-172. https://doi.org/10.1007/s13364-011-0055-8

Mazerolle, M.J. 2023. AICcmodavg: Model Selection and Multimodel Inference Based on (Q)AIC(c). 2.3-3. https://doi.org/10.32614/CRAN.package.AICcmodavg

Mena, J.L., Yagui, H., La Rosa, F., Pastor, P., Rivero, J., Appleton, R. 2020. Topography and disturbance explain mountain tapir (Tapirus pinchaque) occupancy at its southernmost global range. Mammalian Biology 100: 231-239. https://doi.org/10.1007/s42991-020-00027-9

Mena Vásconez, P., Hofstede, R. 2006. Los páramos ecuatorianos. En: Moraes, M., Øllgaard, B., Kvist, L.P., Borchsenius, F., Balslev, H. (eds.), Botánica Económica de los Andes Centrales, pp. 91-109. Universidad Mayor de San Andrés, La Paz, Bolivia.

Mestanza-Ramón, C., Herrera Feijoo, R.J., Chicaiza-Ortiz, C., Gaibor, I.D., Mateo, R.G. 2021. Estimation of Current and Future Suitable Areas for Tapirus pinchaque in Ecuador. Sustainability 13: 11486. https://doi.org/10.3390/su132011486

Ministerio del Ambiente del Ecuador. 2013. Sistema de Clasificación de los Ecosistemas del Ecuador Continental. Subsecretaría de Patrimonio Natural, Quito, Ecuador.

Nakashima, Y., Fukasawa, K., Samejima, H. 2018. Estimating animal density without individual recognition using information derivable exclusively from camera traps Stephens, P. (ed.). Journal of Applied Ecology 55: 735-744. https://doi.org/10.1111/1365-2664.13059

O’Brien, T.G., Kinnaird, M.F., Wibisono, H.T. 2003. Crouching tigers, hidden prey: Sumatran tiger and prey populations in a tropical forest landscape. Animal Conservation 6: 131-139. https://doi.org/10.1017/S1367943003003172

O’Connell, A.F., Nichols, J.D., Ullas Karanth, K. (eds.). 2011. Camera Traps in Animal Ecology. Springer Japan, Tokyo, Japan. https://doi.org/10.1007/978-4-431-99495-4

Ortega-Andrade, H.M., Prieto-Torres, D.A., Gómez-Lora, I., Lizcano, D.J. 2015. Ecological and Geographical Analysis of the Distribution of the Mountain Tapir (Tapirus pinchaque) in Ecuador: Importance of protected areas in future scenarios of global warming. PLOS ONE 10: 1-20. https://doi.org/10.1371/journal.pone.0121137

Padilla, M., Dowler, R.C., Downer, C.C. 2010. Tapirus pinchaque (Perissodactyla: Tapiridae). Mammalian Species 42: 166-182. https://doi.org/10.1644/863.1

Peyton, B. 1980. Distribution, and Food Habits of Spectacled Bears, Tremarctos ornatus, in Peru. Journal of Mammalogy 61: 639-652. https://doi.org/10.2307/1380309

Pisso-Florez, G.A., Gómez-Lora, I., Vela-Vargas, I.M., Pizo, H., Bedoya Dorado, I., Ramírez-Chaves, H.E. 2021. What’s on the menu? A presumed attack of Andean bear on a Mountain tapir at the Puracé National Natural Park, Colombia. Neotropical Biology and Conservation 16: 19-25. https://doi.org/10.3897/neotropical.16.e57140

Quichimbo, P., Tenorio, G., Borja, P., Cárdenas, I., Crespo, P. 2012. Efectos sobre las propiedades físicas y químicas de los suelos por el cambio de la covertura vegetal y udo del suelo: páramo de Quinsacocha al sur del Ecuador. Sociedad Colombiana de la Ciencia del Suelo 42: 138-153.

R Core Team. 2023. R: A language and environment for statistical computing (version 4.3.0). R Foundation for Statistical Computing, Vienna, Austriahttps://www.r-project.org/

Rodriguez, A., Gomez, R., Moreno, A., Cuellar, C., Lizcano, D.J. 2014. Record of a mountain tapir attacked by an Andean bear on a camera trap. Tapir Conservation (The Newsletter of the IUCN/SSC Tapir Specialist Group) 23: 25-26. https://iucntsg.wpengine.com/wp-content/uploads/2017/03/Tapir-Conservation-News-July-2014.pdf

Rovero, F., Marshall, A.R. 2009. Camera trapping photographic rate as an index of density in forest ungulates. Journal of Applied Ecology 46: 1011-1017. https://doi.org/10.1111/j.1365-2664.2009.01705.x

Rowcliffe, J.M., Field, J., Turvey, S.T., Carbone, C. 2008. Estimating animal density using camera traps without the need for individual recognition. Journal of Applied Ecology 45: 1228-1236. https://doi.org/10.1111/j.1365-2664.2008.01473.x

Schank, C.J., Cove, M.V., Kelly, M.J., Mendoza, E., O’Farrill, G., ReynaHurtado, R., Meyer, N., et al. 2017. Using a novel model approach to assess the distribution and conservation status of the endangered Baird’s tapir Thuille, W. (ed.). Diversity and Distributions 23: 1459-1471. https://doi.org/10.1111/ddi.12631

Schank, C.J., Cove, M.V., Kelly, M.J., Nielsen, C.K., O’Farrill, G., Meyer, N., Jordan, C.A., et al. 2019. A Sensitivity Analysis of the Application of Integrated Species Distribution Models to Mobile Species: A Case Study with the Endangered Baird’s Tapir. Environmental Conservation 46: 184-192. https://doi.org/10.1017/S0376892919000055

Tejedor Garavito, N., Álvarez, E., Arango Caro, S., Araujo Murakami, A., Blundo, C., Boza Espinoza, T.E., La Torre Cuadros, M.A., et al. 2012. Evaluación del estado de conservación de los bosques montanos en los Andes tropicales. Ecosistemas 21(1-2): 148-166. Recuperado a partir de https://www.revistaecosistemas.net/index.php/ecosistemas/article/view/34

Tirira, D., Urgilés-Verdugo, C., Tapia, A., Cajas-Bermeo, C.A., Izurieta V, X., Zapata-Ríos, G. 2019. Tropical Ungulates of Ecuador: An Update of the State of Knowledge. In: Gallina-Tessaro, S. (ed.), Ecology and Conservation of Tropical Ungulates in Latin America, pp. 217-271. Springer Nature, Switzerland. https://doi.org/10.1007/978-3-030-28868-6_11

Urgilés-Verdugo, C., Cisneros-Vidal, R., Molina Proaño, S., Ordoñez-Delgado, L., Reyes-Puig, J., Sánchez-Karste, F., Tapia, A., et al. 2021. Tapir andino (Tapirus pinchaque). En: Tirira, D. (ed.), Libro Rojo de mamíferos del Ecuador, (3ª ed.). Asociación Ecuatoriana de Mastozoología, Fundación Mamíferos y Conservación, Pontificia Universidad Católica del Ecuador y Ministerio del Ambiente, Agua y Transición Ecológica del Ecuador, Quito, Ecuador. https://aem.mamiferosdelecuador.com/images/pdf/Tirira_2021-Lista_roja_de_los_mamiferos_del_Ecuador_2021.pdf

Zapata-Ríos, G., Branch, L.C. 2016. Altered activity patterns and reduced abundance of native mammals in sites with feral dogs in the high Andes. Biological Conservation 193: 9-16. https://doi.org/10.1016/j.biocon.2015.10.016

Zapata-Ríos, G., Branch, L.C. 2018. Mammalian carnivore occupancy is inversely related to presence of domestic dogs in the high Andes of Ecuador. PLOS ONE 13: 1-17. https://doi.org/10.1371/journal.pone.0192346


 

Anexo / Appendix

 

Tabla A1. Comparación de la densidad estimada para tapir andino entre estudios realizados, hábitats y metodologías.

Table A1. Comparison of estimated density for Andean tapir among studies, habitats, and methodologies.

 

Autor

Tipo de hábitat

Método

Área (km2)

D (individuos/km2)

Downer 1996

Páramo-Bosque

Radio collar

1

0.17

Acosta et al. 1996

Páramo-Bosque

Caminos de reconocimiento

1

0.25

Lizcano y Cavelier 2000a

Bosque

Caminos de reconocimiento

1

0.18

Castellanos 2013

Páramo

Collares GPS

1

0.29

Este estudio: (Urgilés-Verdugo et al. 2025)

Páramo

Fototrampeo

1

0.24

Bosque montano

Fototrampeo

1

0.12

D = Densidad, número de individuos por kilómetro cuadrado. / D = Density, number of individuals per square kilometre.

 

 

 

Crecimiento anual en diámetro (mm) y altura (cm) de las plantas forestales en función de la edad y de la técnica de control. Para cada especie y año, letras diferentes entre tratamientos indican diferencias significativas (P < 0.05)

 

Figura A1. Análisis de sensibilidad de la densidad estimada para tapir andino con base en el parámetro v = rango de movimiento diario: v =7 km (éste estudio); v =14.4 km  (Lizcano y Cavelier 2000b) v = 0.961 km (Castellanos 2013); D = Densidad estimada; IC = Intervalos de Confianza al 95% (líneas punteadas).

Figure A1. Sensitivity analysis of the estimated density for Andean tapir based on the parameter v = daily movement range: v =7 km (this study); v =14.4 km (Lizcano and Cavelier 2000b) v = 0.961 km (Castellanos 2013); D = Estimated density; CI = 95% Confidence Intervals (dotted lines).