ecosistemas

ISSN 1697-2473

Open access / CC BY-NC 4.0

© 2025 Los autores [ECOSISTEMAS no se hace responsable del uso indebido de material sujeto a derecho de autor] / © 2025 The authors [ECOSISTEMAS is not responsible for the misuse of copyrighted material]

 

Ecosistemas 34(3): 2713 [septiembre-diciembre / September-December, 2025]: https://doi.org/10.7818/ECOS.2713

 

Editora asociada / Associate editor: Verónica Cruz Alonso

 

ARTÍCULO DE INVESTIGACIÓN / RESEARCH ARTICLE

 


Uso de ecotecnologías para la reforestación en ecosistemas de bosques templados de la Sierra Madre Oriental, México: Análisis de costo-efectividad

Rufino Sandoval-GarcíaORCID logo, Javier Jiménez-Pérez2 ORCID logo, Eduardo Alanís-Rodríguez2 ORCID logo, Arturo Mora-Olivo3 ORCID logo , Carlos Antonio Ríos-Saldaña4,5,* ORCID logo

(1)    División de Ingeniería Forestal, Tecnológico Nacional de México - San Miguel El Grande. Km. 1.2 Carretera a la comunidad de Morelos S/N, 71140 San Miguel el Grande, Tlaxiaco, Oaxaca, México.

(2)    Facultad de Ciencias Forestales, Universidad Autónoma de Nuevo León, Carretera Linares-Cd. Victoria km 145, 67700 Linares, Nuevo León, México.

(3)    Facultad de Ingeniería y Ciencias / Instituto de Ecología Aplicada, Universidad Autónoma de Tamaulipas, Centro Universitario Victoria, 87149 Ciudad Victoria, Tamaulipas, México.

(4)    Centro de Estudios e Investigaciones Interdisciplinarios (CEII), Universidad Autónoma de Coahuila, Centro Cultural 2º piso, Ciudad Universitaria, Carretera México km 13, 25350 Arteaga, Coahuila, México.

(5)    BioCórima A. C., Blvd. Dr. Jesús Valdés Sánchez km 10, Col. Presa de las Casas, 25350 Arteaga, Coahuila, México.

* Autor para correspondencia / Corresponding author: Carlos Antonio Ríos-Saldaña [antonio-rios@uadec.edu.mx]

> Recibido / Received: 22/02/2024 – Aceptado / Accepted: 20/06/2025

Cómo citar / How to cite: Sandoval-García, R., Jiménez-Pérez, J., Alanís-Rodríguez, E., Mora-Olivo, A., Ríos-Saldaña, C.A. 2025. Uso de ecotecnologías para la restauración de ecosistemas de pino-encino: Análisis de costo-efectividad. Ecosistemas 34(3): 2713. https://doi.org/10.7818/ECOS.2713

Uso de ecotecnologías para la reforestación en ecosistemas de bosques templados de la Sierra Madre Oriental, México: Análisis de costo-efectividad

Resumen: La baja supervivencia de los programas de reforestación es un serio problema para la restauración de ecosistemas. Una de las estrategias para mitigar este problema consiste en mejorar las técnicas de plantación. Sin embargo, no basta con encontrar técnicas efectivas, sino que además deben ser rentables. En este trabajo se ha evaluado la rentabilidad de varias ecotecnologías en la reforestación de Pinus pseudostrobus en un ecosistema de bosque templado. Para ello, se estableció una parcela experimental dentro del Parque Nacional Cumbres de Monterrey, en el que se evaluó la supervivencia y crecimiento de las plantas a los 12 meses de la reforestación, así como la rentabilidad a través de un análisis de costo-efectividad. Los resultados muestran que las ecotecnologías más rentables son la malla atrapaniebla y el hidrogel. La información generada por este trabajo puede ser de gran interés para los gestores encargados de los proyectos de restauración de ecosistemas, especialmente en áreas con estrés hídrico y difícil acceso.

Palabras clave: conservación de la biodiversidad; investigación interdisciplinaria, malla atrapaniebla; Pinus pseudostrobus; rentabilidad; restauración

Use of eco-technologies for reforestation in temperate forest ecosystems of the Sierra Madre Oriental, Mexico: Cost-effectiveness analysis

Abstract: The poor survival rates of reforestation programs is a serious problem for ecosystem restoration. One of the mitigation strategies for increasing survival rates is to improve planting techniques. However, it is not enough to find effective techniques, they must also be cost-effective. In this work, the cost-effectiveness of several ecotechnologies in the reforestation of Pinus pseudostrobus has been evaluated in a temperate forest ecosystem. For this, an experimental site was established in Cumbres de Monterrey National Park, and the survival and growth of the plants were evaluated 12 months after reforestation; profitability was analyzed through a cost-effectiveness analysis. The results show that the most cost-effective ecotechnologies are fog water collector and hydrogel. The information generated by this work can be of great interest to managers in charge of ecosystem restoration projects, especially in areas with water stress and difficult access.

Keywords: biodiversity conservation; fog water collector; interdisciplinary research, Pinus pseudostrobus; profitability; restoration


Introducción

El cambio climático antropogénico es el origen de una serie de amenazas que reafirman la declaración de emergencia global (Ripple et al. 2021) y la urgencia de tomar medidas para prevenir efectos irreversibles y potencialmente catastróficos para la humanidad (Gills y Morgan 2020). Una de estas amenazas es la pérdida de biodiversidad, que está estrechamente relacionada con el cambio climático, el cambio en los sistemas terrestres y la integridad de la biosfera, tres de los límites planetarios que ya han sido rebasados (Steffen et al. 2015). En este contexto, la reforestación, como parte de una estrategia de restauración de ecosistemas, es una herramienta clave para la conservación de la biodiversidad, no sólo por su importancia para evitar la extinción de especies, sino porque suele tener efectos positivos en el clima (Kemppinen et al. 2020; Shin et al. 2022), ya que mejora los sumideros de emisiones de gases de efecto invernadero mediante el almacenamiento del carbono en el suelo y en la vegetación (IPCC 2021; Gabric 2023). En México, por ejemplo, que es un país megadiverso (Mittermeier y Mittermeier 1997), se sufre una deforestación de más de 200000 hectáreas al año (CONAFOR 2020) y, a pesar de los esfuerzos de conservación (Gallardo-Salazar et al. 2023), la tasa de supervivencia de las reforestaciones es inferior al 50 % (Burney et al. 2015).

En México los bosques templados ocupan aproximadamente el 16 % de la superficie terrestre nacional (CONABIO 2021) y son relevantes por su importancia social, económica, ambiental y biológica (Galicia et al. 2018). Al noreste del país se encuentra la Sierra Madre Oriental, una provincia fisiográfica montañosa, que alberga más del 20 % de la flora nativa de México (alrededor de 8000 especies; Villaseñor 2016). Sin embargo, esta región se ve amenazada por la expansión de distintas formas de agricultura, explotación forestal, incluso dentro de las áreas naturales protegidas (Sahagún-Sánchez y Reyes-Hernández 2018). Además, aunque la presencia del fuego tiene un papel ecológico importante en el mantenimiento y funcionamiento de los bosques templados de la Sierra Madre Oriental, en algunos casos, debido a la intensidad y duración se consideran desastres ecológicos que degradan la funcionalidad e integridad de los ecosistemas (González Tagle et al. 2007). En este contexto, en la restauración se recomienda la reforestación con Pinus pseudostrobus, que es una especie clave del ecosistema maduro, puesto que favorece el aumento de su densidad sin alterar la diversidad, abundancia y dominancia del estrato arbóreo (Alanís-Rodríguez et al. 2010). Por ello, P. pseudostrobus es una de las especies más producidas en vivero para actividades de restauración y reforestación de los bosques templados en México, así como para su uso en plantaciones comerciales (Manzanilla Quiñones et al. 2019).

La reforestación debe considerarse como un sistema complejo en el que una amplia gama de factores biofísicos, socioeconómicos, institucionales y de gestión influyen en el éxito obtenido (Le et al. 2014). Esta complejidad provoca que muchos de los esfuerzos de reforestación fallen, y que maximizar la supervivencia de las plantas sea prioritario en estas actividades (Preece et al. 2023). Una de las principales estrategias para aumentar la supervivencia de las plantas consiste en mejorar las técnicas de plantación (Burney et al. 2015). En este sentido, las ecotecnologías representan una alternativa a las técnicas de plantación tradicionales, ya que podrían aumentar el éxito de las reforestaciones de P. pseudostrobus en los bosques templados de la Sierra Madre Oriental. Haddaway et al. (2018) definen las ecotecnologías como “intervenciones humanas en sistemas socioecológicos en forma de prácticas y/o procesos biológicos, físicos y químicos diseñados para minimizar el daño al medio ambiente y proporcionar servicios de valor a la sociedad”. Diversos estudios han demostrado tanto la efectividad del uso de ecotecnologías en trabajos de restauración de ecosistemas como sus efectos en el micrositio (Piñeiro et al. 2013; Carabassa et al. 2022; Rojas-Arévalo et al. 2022; Ruiz-Sánchez et al. 2024; Stanturf et al. 2024). Por lo tanto, se espera que el uso de ecotecnologías pueda reducir los efectos de las principales causas que afectan la supervivencia de P. pseudostrobus en áreas reforestadas: estrés hídrico y falta de nutrientes. Sin embargo, ninguno de estos estudios ha realizado un análisis de costo-efectividad, a pesar de que, para maximizar el impacto de un programa de reforestación, no basta con que las medidas empleadas sean efectivas, sino que también deben ser rentables, ya que los recursos económicos para su aplicación son limitados (Pienkowski et al. 2021). Por ello, se planteó un trabajo interdisciplinario para abordar los siguientes objetivos: (1) evaluar el efecto de diferentes ecotecnologías en la supervivencia de las plantas de Pinus pseudostrobus; (2) evaluar el crecimiento en altura y diámetro basal de las plantas; y (3) calcular la rentabilidad relativa del uso de ecotecnologías para reforestar en bosques templados de la Sierra Madre Oriental.

Material y métodos

El experimento se realizó in situ como parte de un programa de restauración del bosque templado dentro del Parque Nacional Cumbres de Monterrey, un área natural protegida ubicada al noreste de México, en la Sierra Madre Oriental (Fig. 1). Pinus pseudostrobus, es una de las especies dominantes, con un fuste recto que puede alcanzar una altura de hasta 40 m y un diámetro de hasta 100 cm, con conos solitarios o en pares que miden entre 7 y 16 cm, con acículas en fascículos de cinco, con una longitud de 20-30 cm, rectas y laxas; se distribuye a una altitud que va desde los 850 hasta los 3250 msnm y se distribuye desde el norte de México, hasta Guatemala, El Salvador y Honduras (Farjon et al. 1997). Otras especies dominantes del bosque templado de la Sierra Madre Oriental son: Pinus teocote, Quercus rysophylla, Quercus intricata, Juniperus monosperma y Rhus virens (Alanís-Flores y Velazco-Macías 2013). El clima representativo es semicálido húmedo, la precipitación del mes más seco es menor de 40 mm y el porcentaje de lluvia invernal del 5 % al 10.2 % anual, la temperatura promedio anual es de 24 °C y la precipitación media anual de 690 mm con más de 58 días con niebla. El intervalo de altitud en la zona es de 1691 a 1841 msnm, el suelo dominante es leptosol calcárico rendzico y phaeozem húmico léptico y la geología es de tipo caliza y lutita-arenisca (INEGI 2019). El área de estudio se caracteriza por presentar procesos de degradación, debido a la presión que se ha ejercido por el cambio de uso del suelo con fines agrícolas, ganaderos y la recurrencia de incendios forestales (Fig. 2A). El suelo en el área de estudio tuvo valores de nitrógeno y potasio que oscilaron de 50 a 100 ppm y de fósforo de 4 a 6 ppm. El pH del suelo fue ácido con tendencia hacia la alcalinidad (6.6 – 7.0) y la temperatura del suelo a una profundidad de 20 cm osciló entre 18 y 24 °C (evaluado mediante un analizador digital de tres vías Lustre Leaf 1835).

Área reforestada en el Parque Nacional Cumbres de Monterrey, México

Figura 1. Área reforestada en el Parque Nacional Cumbres de Monterrey, México.

Figure 1. Reforested area in in the Cumbres de Monterrey National Park, Mexico.

 

Condición dominante del área de estudio (A) y características de las plantas (B)

Figura 2. Condición dominante del área de estudio (A) y características de las plantas (B).

Figure 2. Dominant condition of the study area (A) and characteristics of the plants (B).

Los tratamientos evaluados fueron los siguientes: hidrogel Stockosorb®, fertilizantes de liberación controlada Osmocote Plus®, micorrizas arbusculares BIOFertilizante INIFAP®, malla atrapaniebla (Fig. 3A), riego de auxilio (Fig. 3B) y reforestación tradicional como control (Tabla 1). Para realizar el experimento se llevó cabo un diseño de bloques completos al azar compuesto de seis tratamientos (ecotecnologías) y cuatro repeticiones por tratamiento. La unidad experimental consistió en una parcela con 200 individuos, es decir, un total de 4800 árboles distribuidos en 24 parcelas (800 individuos por tratamiento), para una densidad de 960 árboles por hectárea. La plantación se efectuó en septiembre del 2019 (época de lluvias), en un sistema de plantación a tresbolillo con un distanciamiento de 3 m entre plantas y 3.5 entre hileras. Las plantas utilizadas fueron Pinus pseudostrobus producidos en un vivero de la zona, con malla de sombra al 60 %, en charolas de poliestireno de 77 cavidades, con un sustrato a base de peat-moss (30 %), agrolita (15 %), vermiculita (15 %) y tierra de monte (40 %). La edad de las plántulas era de nueve meses al plantar, con un diámetro basal promedio de 3.8 mm y una altura de 23 cm (Fig. 2B). Las variables de interés para establecer la efectividad de las ecotecnologías fueron la supervivencia y el crecimiento de las plántulas en diámetro y altura. La supervivencia se estableció mediante el conteo directo de todas las plántulas vivas con respecto a las establecidas al inicio de la reforestación (porcentaje de supervivencia). Para evaluar el crecimiento en altura total (cm) y el diámetro basal (mm), se utilizaron un flexómetro y un vernier digital, respectivamente. El crecimiento en altura y diámetro se calculó mediante el uso de muestreos (30 sitios circulares de 100 m2, cinco sitios por tratamiento) de acuerdo con las recomendaciones de Prieto Ruíz et al. (2018) para el diseño de muestreos en reforestaciones. Las mediciones de supervivencia, altura y diámetro se realizaron a los seis y a los 12 meses de la plantación. Adicionalmente, sólo para la ecotecnología de malla sombra, se evaluó la condensación del agua microscópica de neblina y/o rocío (litro/m2/día), mediante un neblinómetro de 1 m2 con un bidón de 20 litros de almacenamiento. Asimismo, se establecieron seis estaciones (una por tratamiento) para medir la intensidad luminosa (klx), en el caso de la malla atrapaniebla también se tomó la lectura dentro de la malla; para ello, se utilizó un medidor de luz de amplio rango EA30®. La lectura se tomó cada hora desde las 9:00 hasta las 20:00 h. Tanto la condensación del agua microscópica de neblina y/o rocío como la intensidad luminosa, se midieron dos veces al mes durante el período de sequía.

Malla atrapaniebla (A) y riego de auxilio (B)

Figura 3. Malla atrapaniebla (A) y riego de auxilio (B).

Figure 3. Fog water collector (A) and relief irrigation (B).

La rentabilidad se midió como una relación efectividad-costo para reflejar el costo en dólares de la supervivencia de plantas en la reforestación. El costo del uso de ecotecnologías en el área experimental se estimó considerando la planta, el insumo (mano de obra y materiales) y el periodo de utilidad de los materiales. Todos los tratamientos tuvieron un tiempo de vida útil de un año con excepción de la malla atrapaniebla (Tabla 1). Puesto que la malla atrapaniebla es un activo fijo (Cruz-Adame 2021), para establecer su costo anual se calculó su depreciación normal o en línea recta, sin tomar en cuenta su valor de salvamento, mediante la siguiente fórmula:

La vida útil de la malla atrapaniebla se estimó de acuerdo con los fabricantes de los materiales y la experiencia previa del equipo investigador con esos materiales (Ortega-Roldán 2021). La vida útil de la malla atrapa niebla se estableció en ocho años, puesto que es la duración de la malla sombra, el material de menor duración (Tabla 1).

Tabla 1. Ecotecnologías evaluadas para la reforestación de Pinus pseudostrobus en el Parque Nacional Cumbres de Monterrey, México.

Table 1. Eco-technologies evaluated for the reforestation of Pinus pseudostrobus in the Cumbres de Monterrey National Park, Mexico.

Tratamiento

Descripción

Dosis/Frecuencia

Efecto esperado

en el micrositio

Periodo de utilidad

Hidrogel Stockosorb®

Es un polímero aniónico entrelazado compuesto por sustancias en estado coloidal con apariencia sólida, parcialmente neutralizado con potasio. La granulometría del hidrogel utilizado fue 1-3 mm (Abdallah 2019).

Se utilizó una dosis de 20 g/planta puesto que, en ambientes similares, se ha reportado que es efectiva para aumentar la sobrevivencia de las plántulas (Ríos-Saucedo et al. 2012).

Acondicionador de suelo. El hidrogel tiene la capacidad cambiar su estructura tridimensional para la absorción de agua y su liberación gradual (Abdallah 2019).

Se aplicó una vez al año.

Fertilizantes de liberación controlada Osmocote Plus®

Son fertilizantes solubles en agua revestidos por un polímero que tiene pequeños orificios por donde pasa el agua hacia el gránulo y lo disuelve para liberar lentamente el fertilizante NPK (15-9-12).

Se utilizó una dosis 20 g/planta (Reyes-Millalón et al. 2012).

Acondicionador de suelo. Los fertilizantes de liberación controlada están recubiertos de resina vegetal, que permite la liberación gradual de los nutrientes con un patrón uniforme (Gibson et al. 2019).

Se aplicó una vez al año. Tiene un periodo de utilidad de cinco a seis meses (Gibson et al. 2019).

Micorrizas arbusculares BIOFertilizante INIFAP®

Las micorrizas arbusculares son un tipo de endomicorrizas en las que el hongo penetra en las células corticales de las raíces de una planta vascular. La micorriza utilizada fue Rhizophagus irregularis (46 esporas por gramo).

Investigaciones previas han reportado un incremento significativo en el volumen y biomasa de Pinus pseudostrobus con la aplicación de 10 g de micorrizas (Valdés Ramírez et al. 2010), motivo por el cual se utilizó una dosificación de 10 g/planta.

Acondicionador de suelo y bioestimulante. El Rhizophagus irregularis tiene la capacidad de colonizar las raíces y promover una mayor absorción de los nutrimentos y agua del suelo (Tran et al. 2020)

Se aplicó una vez al año. Se considera un tratamiento anual puesto que es probable que el hongo no sobreviva el periodo de sequía (Valdés et al. 2006; Yaffar et al. 2023).

Malla atrapaniebla

Consiste en una estructura de tubo de CPVC de 50 x 50 cm, recubierto con malla sombra de tipo Raschel 50%, instalada alrededor de cada plántula (Fig. 3A).

Se establecieron las mallas atrapaniebla y se mantuvieron instaladas durante todo el año.

Incrementar la humedad del suelo y reducir la transpiración de la plántula. La malla atrapaniebla sirve para condensar el agua de la neblina y/o el rocío, así como para disminuir la intensidad luminosa (Regalado y Ritter 2017).

Se mantuvieron instaladas permanentemente y se retiraron a los 12 meses. De acuerdo con el fabricante, los tubos de CPVC tienen una vida útil de 30 a 50 años, mientras que la malla sombra una duración de cinco a 10 años (Ortiz-Aguas et al. 2024).

Riego de auxilio

Durante los meses de febrero a mayo, que es el periodo crítico de la sequía, se aplicaron los riegos de auxilio con mochilas aspersoras (Fig. 3B). Para realizar el riego de auxilio se transportó agua en bidones de 20 litros mediante animales de carga, debido a que el área de reforestación no cuenta con vías de acceso para vehículos.

Se aplicaron 2 l/planta, dos veces por mes, hasta alcanzar un total de ocho riegos (Sánchez Sánchez et al. 2004; Martínez de Azagra y del Río 2012).

Incrementar la humedad del suelo.

Se aplicó una vez al año.

Reforestación tradicional (control).

Como testigo o control, se estableció una reforestación tradicional. Esta se realizó durante el periodo de lluvias y careció de cuidados, por lo que estuvo expuesta a las condiciones adversas del sitio (Prieto Ruíz et al. 2018).

No aplica

No aplica

No aplica

Todos los análisis estadísticos se realizaron con el programa R (R Core Team 2023). Para probar el efecto de las distintas ecotecnologías en el crecimiento, primero se realizó la prueba de normalidad de Shapiro-Wilk para diámetro y altura en todas las ecotecnologías usando la función shapiro.test del paquete stats. Cuando los datos se distribuyeron normalmente se realizó un ANOVA con la función lm() del paquete stats, cuando no se cumplió con la normalidad de las variables, se utilizó la prueba de Kruskal-Wallis con la función kruskal.test() del paquete stats. Cada ecotecnología se comparó con el control usando la prueba de Dunnett con la función DunnettTest del paquete DescTools (Signorell et al. 2024).

Resultados

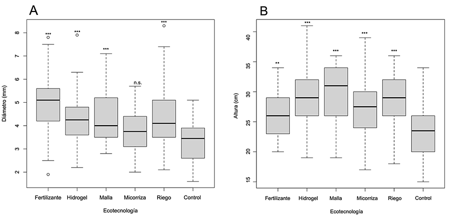
El primer objetivo de este trabajo fue evaluar el efecto de las ecotecnologías en la supervivencia de las plantas de P. pseudostrobus. En este sentido, la ecotecnología más efectiva fue la malla atrapaniebla que, a los 12 meses de plantado, consiguió una supervivencia del 93 %, seguida por el riego de auxilio (64 %), hidrogel (58 %), micorrización (50 %), fertilizante de liberación controlada (47 %) y el control presentó una supervivencia de 35 %. El uso de ecotecnologías no sólo mejoró la supervivencia de las plántulas, sino que también afectó su crecimiento en altura (F5,294= 13.73, p < 0.001) y diámetro basal (test de Kruskal-Wallis, H5= 56.902, p < 0.001). El fertilizante de liberación controlada fue el que consiguió el mayor diámetro (Fig. 4A), mientras que la malla atrapaniebla fue la que logró el mayor crecimiento en altura (Fig. 4B). Además, el neblinómetro registró una condensación promedio de 2.4 litros/m2/día de neblina y rocío, con un mínimo de 1.4 litros/m2/día en periodos de estiaje y 3.5 litros/m2/día en periodos de lluvia. En todos los tratamientos del área de estudio, la intensidad luminosa se incrementó de forma progresiva a partir de los 34 klx (9:30 h), alcanzando un valor máximo de 56 klx (14:00 h.); a partir de ese momento, los niveles empezaron a bajar hasta alcanzar niveles mínimos. Dentro de la malla atrapaniebla, se encontró una reducción de la intensidad luminosa del 70% en las horas de mayor luminosidad (entre las 12:00 y las 14:00 h.). Finalmente, la rentabilidad relativa del uso de ecotecnologías para realizar reforestaciones en bosques templados es primordial para su aplicación práctica. Las ecotecnologías más rentables fueron la malla atrapaniebla e hidrogel (Tabla 2). Por otra parte, aunque el riego de auxilio demostró ser una ecotecnología efectiva, su elevado costo la colocó como la menos rentable (Tabla 2).

Crecimiento promedio en diámetro basal (A) y altura (B)

 

Figura 4. Crecimiento promedio en diámetro basal (A) y altura (B). Los asteriscos indican el nivel de significación estadística: n.s. no significativo, * p ≤ 0.05, ** p ≤ 0.01, ***p ≤ 0.001 (se comparó cada ecotecnología contra el control mediante la prueba de Dunnett).

Figure 4. Average growth in basal diameter (A) and height (B). Asterisks indicate level of statistical significance: n.s. no significant, * p ≤ 0.05, ** p ≤ 0.01, ***p ≤ 0.001 (each ecotechnology was compared against the control using the Dunnett test).

 

Tabla 2. Rentabilidad del uso de ecotecnologías para la reforestación de Pinus pseudostrobus en el Parque Nacional Cumbres de Monterrey, México.

Table 2. Cost-effectiveness of the use of eco-technologies for the reforestation of Pinus pseudostrobus in the Cumbres de Monterrey National Park, Mexico.

Ecotecnología

Efectividad

(porcentaje de supervivencia)

Inversión inicial en dólares (planta + ecotecnología)

Costo anual en dólares

Costo-efectividad

(dólares por 1% de supervivencia)

Hidrogel

58%

480.0

$480.0

$8.3

Fertilizantes de liberación controlada

47%

514.2

$514.2

$10.9

Micorrizas arbusculares

50%

605.7

$605.7

$12.1

Malla atrapaniebla

93%

3520.0

$720.0*

$7.7

Riego de auxilio

64%

1462.9

$1462.9

$22.9

Reforestación tradicional (Control)

35%

388.6

$388.6

$11.1

*Costo anual de acuerdo con la depreciación normal o en línea recta (activo fijo con un valor de adquisición de $3200, valor de salvamento despreciable y vida útil de ocho años)

 

Discusión

En este estudio evaluamos el uso de distintas ecotecnologías para mejorar la supervivencia de las reforestaciones de Pinus pseudostrobus en la Sierra Madre Oriental, al noreste de México. Encontramos que la malla atrapaniebla resultó ser la más rentable y la más efectiva, ya que se alcanzó una supervivencia del 93% y un mayor crecimiento en altura a los 12 meses. Este resultado tiene sentido, ya que el uso de mallas atrapaniebla condensa el agua de la neblina y del rocío aumentando la disponibilidad de agua (Berrones et al. 2021), lo que podría reducir el estrés hídrico, que es una de las principales causas de muerte en las plántulas (Burney et al. 2015). Adicionalmente, la malla atrapaniebla también reduce la intensidad luminosa hasta en un 70%, este efecto de sombra aumenta la supervivencia de las plántulas en áreas con sequías prolongadas y escasez de agua, ya que reduce la pérdida de agua por transpiración (Ritter et al. 2009; Giday et al. 2019; Martínez-Herrera et al. 2023). Por otra parte, la malla atrapaniebla funciona como un cercado de exclusión, reduciendo los daños por ramoneo y pisoteo de la fauna y el ganado (Alexander et al. 2016; Jiménez Pérez et al. 2018; Pérez et al. 2022; Rojas-Arévalo et al. 2022). Es importante mencionar que para aplicar el uso de la malla atrapaniebla se necesita una inversión más cuantiosa con respecto al resto de ecotecnologías evaluadas, pero su tiempo de vida útil es mucho mayor, aproximadamente ocho años, por lo que podría mantenerse instalada en el sitio de la reforestación hasta dos o tres años, que es el tiempo en el que se considera que una reforestación está establecida (CONAFOR 2020; Simoes Macayo y Renison 2015). Por otra parte, el uso de hidrogel puede ser la ecotecnología recomendada cuando no se cuente con los recursos necesarios para utilizar la malla atrapaniebla, ya que mejora la rentabilidad en un 25% con respecto al control (Tabla 2).

El sistema de producción de las plantas en vivero está relacionado con las tasas de supervivencia en las reforestaciones (Sigala Rodríguez et al. 2015). Nosotros utilizamos plantas de Pinus pseudostrobus producidas en charola de poliestireno y obtuvimos una supervivencia del 35% sin el uso de ecotecnologías, un valor mayor al 12% conseguido por (Sigala Rodríguez et al. 2015), para la misma especie y método de producción. Esto podría también deberse a que la precipitación durante el periodo de evaluación fue de 811 mm, por lo que se considera un año húmedo. Asimismo, en zonas más húmedas del país, la supervivencia de Pinus pseudostrobus producido en charola de poliestireno puede alcanzar valores de hasta el 65% (Barrera Ramírez et al. 2018). En el área de estudio, aún en los años húmedos, la lluvia se concentra en pocos meses, lo que genera estrés hídrico, uno de los principales factores que limitan la supervivencia en las reforestaciones (Martínez-Muñoz et al. 2019).

La fuerte limitación de la supervivencia causada por el estrés hídrico quizás sea el motivo por el que las ecotecnologías que mejoran la humedad en la reforestación sean las que obtuvieron los mejores resultados. Por ejemplo, el riego de auxilio mejoró la supervivencia con respecto al control, pero el difícil acceso al área de estudio hace necesario el uso de animales de carga para el transporte del agua y de jornales para realizar el riego con mochilas aspersoras, lo que incrementa los costos y limita su implementación en la práctica. Por el contrario, los fertilizantes de liberación controlada y las micorrizas arbusculares fueron las ecotecnologías que consiguieron las tasas de supervivencia más bajas y las menos rentables, posiblemente porque ambas se ven afectadas significativamente por condiciones ambientales como estrés hídrico y las altas temperaturas (Rose et al. 2004; Baum et al. 2015). El hidrogel, en cambio, permite mantener la humedad en el suelo para que pueda ser asimilada gradualmente por las plantas, por lo que aumenta la supervivencia en condiciones de estrés hídrico (Abdallah 2019). Sin embargo, el uso incorrecto del hidrogel puede provocar una sobredosis y causar efectos adversos, por lo que deben realizarse investigaciones para determinar dosis de aplicación de hidrogel adecuadas para diferentes condiciones ambientales y especies de árboles (Sarvaš et al. 2007). Las mallas atrapaniebla obtuvieron los mejores resultados, porque funcionan como un sistema de microcaptación de agua, condensando la neblina y rocío que se generan durante el día o la noche (Regalado y Ritter 2017). Por otra parte, encontramos que todas las ecotecnologías evaluadas mejoraron el crecimiento en diámetro y altura con respecto al control, con excepción del diámetro en el uso de micorrizas. Asimismo, el uso de hidrogel, mallas atrapaniebla y riego de auxilio, produjeron las plantas con mayor altura, lo que puede explicarse por el mejor mantenimiento de la humedad en el suelo. Adicionalmente, la malla atrapaniebla podría provocar el síndrome de evitación de la sombra, según el cual el crecimiento en altura se potencia en el entorno sombreado (Giday et al. 2019).

En conclusión, este estudio muestra que el uso de ecotecnologías en los programas de reforestación aumenta la supervivencia y crecimiento de las plántulas a los 12 meses en comparación con los métodos tradicionales. Asimismo, en áreas de difícil acceso y con condiciones climáticas adversas, el uso de mallas atrapaniebla y la aplicación de hidrogel representan una herramienta viable para las actividades de reforestación.

Contribución de los autores

Rufino Sandoval-García: Análisis formal, Investigación, Metodología, Redacción-borrador original. Javier Jiménez-Pérez: Conceptualización, Redacción-revisión y edición. Eduardo Alanís-Rodríguez: Conceptualización, Metodología, Redacción-revisión y edición. Arturo Mora-Olivo: Conceptualización, Metodología, Redacción-revisión y edición. Carlos Antonio Ríos-Saldaña: Análisis formal, Metodología, Redacción-revisión y edición, Visualización.

Disponibilidad de datos y código

El conjunto de datos de este artículo está disponible en Mendeley Data, en: https://doi.org/10.17632/9fr34vwm74.2

Financiación, permisos requeridos, potenciales conflictos de interés y agradecimientos

Los autores/as declaran no tener ningún conflicto de intereses.

Agradecemos al personal del Parque Nacional Cumbres de Monterrey por las facilidades otorgadas, a los pobladores del ejido Laguna de Sánchez por el apoyo en las actividades desarrolladas y al Consejo Nacional de Humanidades, Ciencias y Tecnologías por la beca otorgada al primer autor para sus estudios de doctorado.

Referencias

Abdallah, A.M. 2019. The effect of hydrogel particle size on water retention properties and availability under water stress. International Soil and Water Conservation Research 7: 275-285. https://doi.org/10.1016/j.iswcr.2019.05.001

Alanís-Flores, G., Velazco-Macías, C. 2013. Tipos de Vegetación. En Cantú-Ayala, C., Rovalo-Merino, M., Marmolejo-Moncivais, J., Ortiz-Hernández, S., Seriñá Garza, F. (eds.), Historia Natural del Parque Nacional Cumbres de Monterrey, México, pp. 117-126. UANL-CONANP, Linares, México.

Alanís-Rodríguez, E., Jiménez-Pérez, J., Pando-Moreno, M., Aguirre-Calderón, O.A., Treviño-Garza, E.J., García-Galindo, P.C. 2010. Effect of post-fire ecological restoration on the arboreal diversity of the Chipinque Ecological Park, Mexico. Madera y Bosques 16: 39-54. https://doi.org/10.21829/myb.2010.1641159

Alexander, H.D., Moczygemba, J., Dick, K. 2016. Growth and survival of thornscrub forest seedlings in response to restoration strategies aimed at alleviating abiotic and biotic stressors. Journal of Arid Environments 124: 180-188. https://doi.org/10.1016/j.jaridenv.2015.06.014

Barrera Ramírez, R., López Aguillón, R., Muñoz Flores, H.J. 2018. Supervivencia y crecimiento de Pinus pseudostrobus Lindl., y Pinus montezumae Lamb. en diferentes fechas de plantación. Revista Mexicana de Ciencias Forestales 9: 323-341. https://doi.org/10.29298/rmcf.v9i50.245

Baum, C., El-Tohamy, W., Gruda, N. 2015. Increasing the productivity and product quality of vegetable crops using arbuscular mycorrhizal fungi: A review. Scientia Horticulturae 187: 131-141. https://doi.org/10.1016/j.scienta.2015.03.002

Berrones, G., Crespo, P., Wilcox, B.P., Tobón, C., Célleri, R. 2021. Assessment of fog gauges and their effectiveness in quantifying fog in the Andean páramo. Ecohydrology 14(6): e2300. https://doi.org/10.1002/eco.2300

Burney, O., Aldrete, A., Reyes, R.A., Ruíz, J.A.P., Velazquez, J.R.S., Mexal, J.G. 2015. México—Addressing challenges to reforestation. Journal of Forestry 113: 404-413. https://doi.org/10.5849/jof.14-007

Carabassa, V., Alba-Patiño, D., García, S., Campo, J., Lovenstein, H., Van Leijen, G., Castro, A.J., et al. 2022. Water-saving techniques for restoring desertified lands: Some lessons from the field. Land Degradation and Development 33: 133-144. https://doi.org/10.1002/ldr.4134

CONABIO. 2021. Bosques templados. Comisión Nacional para el Conocimiento y Uso de la Biodiversidad, Ciudad de México, México. Disponible en: https://www.biodiversidad.gob.mx/ecosistemas/bosquetemplado

CONAFOR. 2020. Estimación de la tasa de deforestación bruta en México para el periodo 2001-2018 mediante el método de muestreo. Documento Técnico. Comisión Nacional Forestal, Zapopan, México.

Cruz-Adame, J. 2021. Activos fijos. Saberes 5.0 1: 103-110. https://doi.org/10.51859/amplla.ecv740.1121-8

Farjon, A., Pérez de la Rosa, J., Styles, B.T. 1997. Guía de campo de los pinos de México y América Central. The Board of Trustees of the Royal Botanic Gardens, Kew, Londres, Inglaterra.

Gabric, A.J. 2023. The Climate Change Crisis: A Review of Its Causes and Possible Responses. Atmosphere 14: 1081. https://doi.org/10.3390/atmos14071081

Galicia, L., Chávez-Vergara, B.M., Kolb, M., Jasso-Flores, R.I., Rodríguez-Bustos, L.A., Solís, L.E., de la Cruz, V.G., et al. 2018. Perspectives of the socioecological approach in the preservation, utilization and the payment of environmental services of the temperate forests of Mexico. Madera y Bosques 24(2): e2421443. https://doi.org/10.21829/myb.2018.2421443

Gallardo-Salazar, J.L., Sáenz-Romero, C., Lindig-Cisneros, R.A., Blanco-García, A., Osuna-Vallejo, V. 2023. Evaluation of Forestry Component Survival in Plots of the Program “Sembrando Vida” (Sowing Life) Using Drones. Forests 14: 2117. https://doi.org/10.3390/f14112117

Gibson, E.L., de Oliveira Gonçalves, E., Dos Santos, A.R., Araújo, E.F., Caldeira, M.V.W. 2019. Controlled-release fertilizer on growth of melanoxylon brauna schott seedlings. Floresta e Ambiente 26(1): e20180418. https://doi.org/10.1590/2179-8087.041818

Giday, K., Aerts, R., Muys, B., Troyo-Diéguez, E., Azadi, H. 2019. The effect of shade levels on the survival and growth of planted trees in dry afromontane forest: Implications for restoration success. Journal of Arid Environments 170: 103992. https://doi.org/10.1016/j.jaridenv.2019.103992

Gills, B., Morgan, J. 2020. Global Climate Emergency: after COP24, climate science, urgency, and the threat to humanity. Globalizations 17: 885-902. https://doi.org/10.1080/14747731.2019.1669915

González Tagle, M.A., Schwendenmann, L., Jiménez Pérez, J., Himmelsbach, W. 2007. Reconstrucción del historial de incendios y estructura forestal en bosques mixtos de pino-encino en la Sierra Madre Oriental. Madera y bosques 13: 51-63. https://doi.org/10.21829/myb.2007.1321228

Haddaway, N.R., Mcconville, J., Piniewski, M. 2018. How is the term “ecotechnology” used in the research literature? A systematic review with thematic synthesis. Integrative Medicine Research 18(3): 247-261. https://doi.org/10.1016/j.ecohyd.2018.06.008

INEGI. 2019. Conjuntos de datos vectoriales de información topográfica escala 1:250 000. Nuevo León Serie VI. Disponible en: https://www.inegi.org.mx/app/biblioteca/ficha.html?upc=889463776895

IPCC. 2021. Climate Change 2021: The Physical Science Basis. Contribution of Working Group I to the Sixth Assessment Report of the Intergovernmental Panel on Climate Change. Masson-Delmotte, V., Zhai, P., Pirani, A., Connors, S. L., Péan, C., Berger, S., Caud, N., et al. (eds.), Cambridge University Press. Cambridge, Reino Unido y Nueva York, Estados Unidos. https://doi.org/10.1017/9781009157896 

Jiménez Pérez, J., Yerena Yamallel, J.I.I., Alanís Rodríguez, E., Aguirre Calderón, O.A., Martínez Barrón, R.A. 2018. Effect of cattle and wildlife exclusion areas on the survival and growth of Pinus culminicola Andresen & Beaman. Ecosistemas y Recursos Agropecuarios 5: 157-163. https://doi.org/10.19136/era.a5n13.1043

Kemppinen, K.M.S., Collins, P.M., Hole, D.G., Wolf, C., Ripple, W.J., Gerber, L.R. 2020. Global reforestation and biodiversity conservation. Conservation Biology 34: 1221-1228. https://doi.org/10.1111/cobi.13478

Le, H.D., Smith, C., Herbohn, J. 2014. What drives the success of reforestation projects in tropical developing countries? The case of the Philippines. Global Environmental Change 24: 334-348. https://doi.org/10.1016/j.gloenvcha.2013.09.010

Manzanilla Quiñones, U., Delgado Valerio, P., Hernández Ramos, J., Molina Sánchez, A., García Magaña, J.J., Rocha Granados, M. del C. 2019. Similaridad del nicho ecológico de Pinus montezumae y P. pseudostrobus (Pinaceae) en México: implicaciones para la selección de áreas productoras de semillas y de conservación. Acta Botánica Mexicana 126: e1398. https://doi.org/10.21829/abm126.2019.1398

Martínez de Azagra, A., del Río, J. 2012. Los riegos de apoyo y de socorro en repoblaciones forestales. Foresta 54: 32-44.

Martínez-Herrera, E., Bravo, V., Grez, I., Vaswani, S., Toro, N., Yáñez, M.A., Espinoza, S.E., et al. 2023. The Use of Mulch and Shading Improves the Survival of Sclerophyllous Species Established in Island Plots in Central Chile. Applied Sciences 13(14): 8333. https://doi.org/10.3390/app13148333

Martínez-Muñoz, M., Gómez-Aparicio, L., Pérez-Ramos, I.M. 2019. Técnicas para promover la regeneración del arbolado en dehesas mediterráneas. Ecosistemas 28: 142-149. https://doi.org/10.7818/ECOS.1798

Mittermeier, R.A., Mittermeier, C.G. 1997. Megadiversity: Earth’s Biologically Wealthiest Nations. CEMEX, Distrito Federal, México.

Ortega-Roldán, W. 2021. Depreciación: Disminución del valor de un bien. Saberes 5.0 1: 54-60.

Ortiz-Aguas, G.A., Martínez-González, S.A., Lucho-Constantino, C.A., Bigurra-Alzati, C.A. 2024. Análisis del sistema de atrapanieblas y rocío por medio de una malla tejida de plástico PET. Pädi Boletín Científico de Ciencias Básicas e Ingenierías del ICBI 12: 75-81. https://doi.org/10.29057/icbi.v12iEspecial3.13174

Pérez, D.R., Díaz, M., Duarte Baschini, C., Sabino, G. 2022. Hidrogel y protección contra mamíferos en plantaciones de restauración ecológica en tierras secas: una evaluación en Prosopis denudans’ var. denudans. Boletín de la Sociedad Argentina de Botánica 57: 225-235. https://doi.org/10.31055/1851.2372.v57.n2.34107

Pienkowski, T., Cook, C., Verma, M., Carrasco, L.R. 2021. Conservation cost-effectiveness: a review of the evidence base. Conservation Science and Practice 3: e357. https://doi.org/10.1111/csp2.357

Piñeiro, J., Maestre, F.T., Bartolomé, L., Valdecantos, A. 2013. Ecotechnology as a tool for restoring degraded drylands: A meta-analysis of field experiments. Ecological Engineering 61: 133-144. https://doi.org/10.1016/j.ecoleng.2013.09.066

Preece, N.D., van Oosterzee, P., Lawes, M.J. 2023. Reforestation success can be enhanced by improving tree planting methods. Journal of Environmental Management 336: 117645. https://doi.org/10.1016/j.jenvman.2023.117645

Prieto Ruíz, J.Á., Duarte Santos, A., Goche Télles, J.R., González Orozco, M.M., Pulgarín Gámiz, M.Á. 2018. Supervivencia y crecimiento de dos especies forestales, con base en la morfología inicial al plantarse. Revista Mexicana de Ciencias Forestales 9: 151-168. https://doi.org/10.29298/rmcf.v9i47.182

R Core Team. 2023. R: A Language and Environment for Statistical. [usado el 8 de noviembre, 2023]. Disponible en: https://www.r-project.org

Regalado, C.M., Ritter, A. 2017. The performance of three fog gauges under field conditions and its relationship with meteorological variables in an exposed site in Tenerife (Canary Islands). Agricultural and Forest Meteorology 233: 80-91. https://doi.org/10.1016/j.agrformet.2016.11.009

Reyes-Millalón, J., Gerding, V., Thiers-Espinoza, O. 2012. Fertilizantes de liberacion controlada aplicados al establecimiento de pinus radiata D. Don en Chile. Revista Chapingo, Serie Ciencias Forestales y del Ambiente 18: 313-328. https://doi.org/10.5154/r.rchscfa.2011.08.060

Ríos-Saucedo, J.C., Rivera-González, M., Valenzuela-Nuñez, L.M., Trucios-Caciano, R., Rosales-Serna, R. 2012. Diagnóstico de las reforestaciones de mezquite y métodos para incrementar su sobrevivencia en Durango, México. Revista Chapingo Serie Zonas Áridas XI: 63-67.

Ripple, W.J., Wolf, C., Newsome, T.M., Gregg, J.W., Lenton, T.M., Palomo, I., Eikelboom, J.A.J., et al. 2021. World scientists’ warning of a climate emergency 2021. BioScience 71: 894-898. https://doi.org/10.1093/biosci/biab079

Ritter, A., Regalado, C.M., Aschan, G. 2009. Fog reduces transpiration in tree species of the Canarian relict heath-laurel cloud forest (Garajonay National Park, Spain). Tree Physiology 29: 517-528. https://doi.org/10.1093/treephys/tpn043

Rojas-Arévalo, N., Ovalle, J.F., Oliet, J.A., Piper, F.I., Valenzuela, P., Ginocchio, R., Arellano, E.C. 2022. Solid shelter tubes alleviate summer stresses during outplanting in drought-tolerant species of Mediterranean forests. New Forests 53: 555-569. https://doi.org/10.1007/s11056-021-09872-z

Rose, R., Haase, D.L., Arellano, E. 2004. Fertilizantes de entrega controlada: potencial para mejorar la productividad de la reforestación. Bosque 25(2): 89-100. https://doi.org/10.4067/S0717-92002004000200009

Ruiz-Sánchez, R., Arencibia-Jorge, R., Tagüeña, J., Jiménez-Andrade, J. L., Carrillo-Calvet, H. 2024. Exploring research on ecotechnology through artificial intelligence and bibliometric maps. Environmental Science and Ecotechnology, 21: 100386. https://doi.org/10.1016/j.ese.2023.100386

Sahagún-Sánchez, F.J., Reyes-Hernández, H. 2018. Impactos por cambio de uso de suelo en las áreas naturales protegidas de la región central de la Sierra Madre Oriental, México. Ciencia UAT 12: 6-21. https://doi.org/10.29059/cienciauat.v12i2.831

Sánchez Sánchez, J., Ortega Oller, R., Hervás Múñoz, M., Padilla Ruiz, F.M., Pugnaire de Idaola, F.I. 2004. El microrriego, una técnica de restauración de la cubierta vegetal para ambientes semiáridos. Cuadernos de la Sociedad Española de Ciencias Forestales 17: 109-112.

Sarvaš, M., Pavlenda, P., Takáčová, E. 2007. Effect of hydrogel application on survival and growth of pine seedlings in reclamations. Journal of Forest Science 53(5): 204-209. https://doi.org/10.17221/2178-JFS

Shin, Y.J., Midgley, G.F., Archer, E.R.M., Arneth, A., Barnes, D.K.A., Chan, L., Hashimoto, S., et al. 2022. Actions to halt biodiversity loss generally benefit the climate. Global Change Biology 28: 2846-2874. https://doi.org/10.1111/gcb.16109

Sigala Rodríguez, J.Á., González Tagle, M.A., Prieto Ruíz, J.Á. 2015. Supervivencia en plantaciones de Pinus pseudostrobus Lindl. en función del sistema de producción y preacondicionamiento en vivero. Revista Mexicana de Ciencias Forestales 6: 20-31. https://doi.org/10.29298/rmcf.v6i30.205

Signorell, A., Aho, K., Alfons, A., Anderegg, N., Aragon, T., Zeileis, A. 2024. DescTools: Tools for Descriptive Statistics. [usado el 8 de noviembre, 2009]. Disponible en:  https://CRAN.R-project.org/package=DescTools

Simoes Macayo, N., Renison, D. 2015. ¿Cuántos años monitorear el éxito de plantaciones con fines de restauración?: Análisis en relación al micrositio y procedencia de las semillas. Bosque (Valdivia)36(2), 315-322. https://www.doi.org/10.4067/S0717-92002015000200016

Stanturf, J.A., Dumroese, R.K., Elliott, S., Ivetic, V., Khokthong, W., Kleine, M., Lang, M., et al. 2024. Advances in forest restoration management and technology. En Restoring Forests and Trees for Sustainable Development, pp. 297-334. Oxford University PressNew York, NY. https://doi.org/10.1093/9780197683958.003.0011

Steffen, W., Richardson, K., Rockström, J., Cornell, S.E., Fetzer, I., Bennett, E.M., Biggs, R., et al. 2015. Planetary boundaries: Guiding human development on a changing planet. Science 347: 6223. https://doi.org/10.1126/science.1259855

Tran, C.T.K., Watts-Williams, S.J., Smernik, R.J., Cavagnaro, T.R. 2020. Effects of plant roots and arbuscular mycorrhizas on soil phosphorus leaching. Science of the Total Environment 722: 137847. https://doi.org/10.1016/j.scitotenv.2020.137847

Valdés, M., Asbjornsen, H., Gómez-Cárdenas, M., Juárez, M., Vogt, K.A. 2006. Drought effects on fine-root and ectomycorrhizal-root biomass in managed Pinus oaxacana Mirov stands in Oaxaca, Mexico. Mycorrhiza 16: 117-124. https://doi.org/10.1007/s00572-005-0022-9

Valdés Ramírez, M., Ambriz Parra, E., Camacho Vera, A., Fierros González, A.M. 2010. Inoculación de plántulas de pinos con diferentes hongos e identificación visual de la ectomicorriza. Revista Mexicana de Ciencias Forestales 1: 53-64. https://doi.org/10.29298/rmcf.v1i2.637

Villaseñor, J.L. 2016. Checklist of the native vascular plants of Mexico. Revista Mexicana de Biodiversidad 87: 559-902. https://doi.org/10.1016/j.rmb.2016.06.017

Yaffar, D., Lugli, L.F., Wong, M.Y., Norby, R.J., Addo-Danso, S.D., Arnaud, M., Cordeiro, A.L., et al. 2024. Tropical root responses to global changes: A synthesis. Global Change Biology 30: e17420. https://doi.org/10.1111/gcb.17420