ecosistemas

ISSN 1697-2473

Open access / CC BY-NC 4.0

© 2024 Los autores [ECOSISTEMAS no se hace responsable del uso indebido de material sujeto a derecho de autor] / © 2024 The authors [ECOSISTEMAS is not responsible for the misuse of copyrighted material]

 

Ecosistemas 33(3): 2651 [septiembre - diciembre / September - December, 2024]: https://doi.org/10.7818/ECOS.2651

 

Editora asociada / Associate editor: María Viota

 

ARTÍCULO DE INVESTIGACIÓN / RESEARCH ARTICLE

 


Estudio de la diversidad taxonómica y temporal de arañas de cultivos de alcaucil Cynara scolymus L.

Cecilia Gabellone1 ORCID logo, Andrea Armendano1,* ORCID logo, Alda González1 ORCID logo

 

(1)   Centro de Estudios Parasitológicos y de Vectores (CEPAVE), CONICET La Plata – Universidad Nacional de La Plata, Calle Boulevard 120 s/n, 1900, La Plata, Argentina.

* Autora de correspondencia / Correspondig author: Andrea Armendano [aarmendano@gsuite.fcnym.unlp.edu.ar]

> Recibido / Received: 16/10/2023 – Aceptado / Accepted: 14/11/2024

Cómo citar / How to cite: Gabellone, C., Armendano, A., González, A. 2024. Estudio de la diversidad taxonómica y temporal de arañas de cultivos de alcaucil Cynara scolymus L. Ecosistemas 33(3): 2651. https://doi.org/10.7818/ECOS.2651

Estudio de la diversidad taxonómica y temporal de arañas de cultivos de alcaucil Cynara scolymus L.

Resumen: Las arañas representan uno de los grupos faunísticos más diversos. Son depredadores generalistas numerosos y funcionalmente importantes en los agroecosistemas como enemigos naturales de insectos plaga. El Cinturón Hortícola Platense es una de las principales regiones productoras de cultivos hortícolas, particularmente de alcaucil Cynara scolymus L. (Asteraceae). Durante dos años se recolectaron estacionalmente arañas mediante aspirador y trampas de caída en parcelas de cultivos de alcaucil de distintas edades. El trabajo tiene la finalidad documentar la composición de familias, gremios, la diversidad alfa, beta, además de las variaciones estacionales de las comunidades de arañas en cultivos de alcaucil. Se registraron un total de 4826 arañas, que representan 65 especies/morfoespecies de 19 familias, siendo Linyphiidae y Lycosidae las familias más abundantes y Laminacauda montevidensis (Keyserling) (Araneae: Linyphiidae) la especie numéricamente más importante. El porcentaje de familias presentes en el cultivo de alcaucil fue del 27,94% del total de familias presentes en Argentina. El cultivo de menor edad presentó una mayor abundancia y riqueza de arañas. Los valores de los índices de diversidad fueron altos y el gremio más representado fue el de tejedoras de tela sábana debido a la gran proporción de ejemplares de la familia Linyphiidae. Este estudio consiste en el primer registro para Argentina en cultivos de alcaucil, y contribuye al conocimiento de la araneofauna adaptada a ambientes agrícolas con alto grado de perturbación antrópica.

Palabras clave: alcachofa; alcaucil; Araneae; Cinturón hortícola platense; diversidad

Study of the taxonomic and temporal diversity of artichoke crop spiders Cynara scolymus L.

Abstract: Spiders represent one of the most diverse faunal groups. They are numerous and functionally important generalist predators in agroecosystems, since they play an important role as natural enemies of pest insects. The Cinturón Hortícola Platense is one of the main producing regions of horticultural crops, particularly artichoke Cynara scolymus L. (Asteraceae), from the Province of Buenos Aires, Argentina. Spiders collected seasonally for two years using vacuum cleaners and pitfall traps in plots of artichoke crops of different ages. The purpose of the work is to document the family composition, guilds, alpha, beta diversity, as well as seasonal variations of spider communities in artichoke crops. Total spiders recorded were 4826, representing 65 species/morphospecies from 19 families, Linyphiidae and Lycosidae being the most abundant families and Laminacauda montevidensis (Keyserling) (Araneae: Linyphiidae) the numerically most important species. The percentage of families present in the cultivation of artichoke was 27.94% of the total families present in Argentina. The younger crop presented greater abundance and richness of spiders. The values of the diversity indices were high, and the most represented guild was that of sheet weavers due to the large proportion of specimens of the Linyphiidae family. This study is the first record for Argentina on artichoke crops and contributes to the knowledge of the spider fauna adapted to agricultural environments with a high degree of anthropic disturbance.

Keywords: Araneae; artichoke; Cinturón hortícola platense; diversity


Introducción

El Cinturón Hortícola Platense (CHP) es una de las principales regiones hortícolas del país, donde el cultivo de alcaucil (Cynara scolymus L.) sobresale debido al auge que ha tenido a nivel nacional y regional (García et al. 2017). En Argentina, la superficie del alcaucil es de aproximadamente 1500-1750 has., localizándose un 51 % en el partido (municipio) de La Plata (provincia de Buenos Aires), 26 % en Cuyo, 14 % en Rosario (provincia de Santa Fe) y 9 % en la localidad de General Pueyrredón (provincia de Buenos Aires). El alcaucil o alcachofa se introdujo en la zona rioplatense en el siglo pasado con los inmigrantes provenientes de la zona Mediterránea, distribuyéndose luego al resto del país. El partido de La Plata concentra la mayor parte de la producción de alcauciles a nivel nacional, y la ciudad fue declarada capital del alcaucil (zona de Arana y Los Hornos con rendimientos de 15 000 kg/ha). Se consume principalmente en estado fresco (90%) y el resto es procesado. Se lo utiliza como extracto líquido para bebidas con probadas propiedades curativas. En el año 2015 fue realizado en esta ciudad el “IX International Symposium on artichoke, cardoon and their wild relatives”, un importante evento internacional que congregó a numerosos investigadores y profesionales del sector (García y Cravero 2016).

Las arañas representan uno de los grupos faunísticos más diversos del reino Animal, actualmente con 51 059 especies (World Spider Catalog 2021). Son los depredadores generalistas más numerosos en los ecosistemas terrestres y por ser numérica y funcionalmente importantes en los agroecosistemas, cumplen un destacado rol como enemigos naturales de insectos plaga (Green 1996; Mashavakure et al. 2019). Los pulgones representan las principales plagas del alcaucil en Argentina, siendo sus principales controladores los coccinélidos (Coleoptera), bracónidos (Hymenoptera) y arañas (Araneae) (Strassera et al. 2013). La diversidad de arañas ha sido ampliamente estudiada en cultivos de soja, alfalfa, trigo y algodón en Argentina (Minervino 1996; Liljesthröm et al. 2002; Beltramo et al. 2006; González et al. 2009; Armendano y González 2010, 2011; Benamú 2010; Almada et al. 2012). Existen algunos trabajos en cultivos hortícolas. (Baloriani et al. 2010; Armendano et al. 2018), siendo el presente estudio el primer reporte sobre las comunidades de arañas en cultivos de alcaucil en Argentina. En el mismo se documenta la composición de familias, la diversidad de especies, abundancia relativa, gremios y las variaciones estacionales de las arañas en cultivos de alcaucil.

Materiales y métodos

Área de estudio

Se ubicó en el área periurbana de La Plata (Los Hornos, "Cinturón Hortícola Platense”) (34° 59' S 57° 59' O), Provincia de Buenos Aires, Argentina. La precipitación media anual es de 1040 mm, las lluvias más abundantes son en verano y disminuyen hacia los meses más fríos. La temperatura media anual es de 16.2 °C, siendo enero el mes más cálido y julio el más frio. El clima de la región se define como Subtropical Húmedo. Respecto a las características climáticas durante los años de estudio, el más lluvioso fue el 2014 con 1378.4 mm acumulados, en tanto que el 2015 fue el más seco con 874.8 mm acumulados, encontrándose en 2016 una situación intermedia con 1074.6 mm. La temperatura media anual varió entre 15.7°C (2016), 16.5°C (2015) y 16.6°C (2014).

Para el estudio se seleccionaron dos cultivos de alcaucil a cielo abierto (variedad “Romanesco”).  Como la edad productiva de la planta de alcaucil es de aproximadamente 5 años, se trabajó con cultivos de un año (CA1) y de cuatro años (CA4) (Fig. 1). Existen tres variedades principales de alcaucil que se cultivan en la región (García et al. 2014). La variedad Romanesco es la más extendida y cultivada en la zona de La Plata. Se caracteriza por cabezas semiesféricas, brácteas violetas con esfumaciones verdes y por carecer de espinas. Su peso varía entre los 200 y 250 g. Su producción comienza a fines de junio y se extiende hasta finales de agosto. La variedad Ñata, tiene brácteas violetas con verde, muy compactas. Su peso varía entre los 200 y 300 g. y su producción es entre septiembre y noviembre. La variedad Blanco San Juan, es de cabeza ovalada, color verde claro, compacto y pequeño, pesa entre 140 a 160 g. La producción es desde principios de marzo a finales de mayo, y de julio a mediados de septiembre. Es un cultivo de ciclo anual, pero considerado perenne por mantenerse por períodos de 3 o 5 años, pero presentando bajas en su rendimiento.

Los cultivos fueron tratados con el insecticida dimetoato (Perfekthion® S; BASF, Lemvig, Dinamarca) para el control del pulgón del frijol (Aphis fabae Scopoli; Hemiptera: Aphididae), principal plaga del cultivo de alcaucil. Se aplicó toda vez que se observó su presencia, principalmente en el momento de formación del capítulo floral.

 Recolección de los ejemplares

Se realizaron 8 muestreos estacionales durante dos años consecutivos, utilizando transectas lineales paralelas entre sí generando una malla regular. Las muestras se tomaron cada 26 surcos en CA1 y cada 12 surcos en CA4, total 20 puntos de muestreo para cada cultivo (Fig. 1).

Las arañas de la vegetación se recolectaron con un aspirador o G-Vac (ASP) realizando  una aspiración en 1m2 durante  1 min cubriendo dos plantas por punto de muestreo (Benamú 2010; Almada et al. 2015; Argañaraz et al. 2018; Gabellone 2019) y para las de suelo se utilizaron trampas de caída (TRC) construidas con dos recipientes de plástico, uno dentro del otro, de 9 × 12.5 × 5.5 cm (diámetro superior × profundidad × diámetro inferior), uno con agujeros en el fondo y el otro con agujeros a los lados y a 9 cm del fondo, para evitar que rebalsen.  Se utilizó 60 ml de agua salada al 3% con gotas de detergente (para reducir la tensión superficial) dentro del recipiente interior. Las trampas contaron con una tapa de poliestireno (25 cm × 15 cm) sostenida por dos palos de madera a 6 cm del suelo, para evitar la caída de hojas y lluvia y se ubicaron entre dos plantas durante 15 días consecutivos.

 

A) Localización e imagen satelital del cultivo de alcaucil de 1 año (AC1) (izquierda) and 4 años (AC4) (derecha) en La Plata, Argentina. Los puntos de muestreo se indicaron con números en cada cultivo. B) Trampa de caída.

Figura 1. A) Localización e imagen satelital del cultivo de alcaucil de 1 año (AC1) (izquierda) and 4 años (AC4) (derecha) en La Plata, Argentina. Los puntos de muestreo se indicaron con números en cada cultivo. ) Trampa de caída.

Figure 1.A) Location and satellite image of artichoke cultivation for 1 year (AC1) (left) and 4 years (AC4) (right) in La Plata, Argentina. Sampling points were indicated with numbers in each crop. B) Pitfall trap.

 

Determinación del material de estudio

Los ejemplares recolectados se conservaron en alcohol 70% y se identificaron mediante claves (Levi y Levi 1962; Millidge 1991; Ramírez 1999; Grismado et al. 2014) y consultas a especialistas. Los especímenes comprobantes fueron depositados en el Centro de Estudios Parasitológicos y de Vectores, Universidad Nacional de La Plata, Buenos Aires, Argentina.

Análisis de datos

Para el análisis de la diversidad alfa, se estimó la riqueza de especies, abundancia relativa y los índices paramétricos de Simpson (D), Shannon-Wienner (H), Pielou (J), Margalef, Equity y dominancia (Magurran 1988; Begon et al. 2006), usando BioDiversity Pro y PAST 3.3 (Hammer et al. 2001).

Se calcularon, además, estimadores no-paramétricos en el sentido estadístico (Chao 1, Jackknife de primer orden, y ACE), ya que no asumen el tipo de distribución del conjunto de datos, no se ajustan a un modelo determinado y requieren solamente datos de presencia-ausencia. Además, se realizaron las curvas de estimadores no paramétricos que emplean proporciones de especies raras (singletons y doubletons, especies que sólo cuentan con uno y dos individuos respectivamente en todo el inventario) (Magurran 1988). Las curvas de acumulación de especies de los estimadores no paramétricos (Chao 1984; Colwell y Coddington 1994; Coldwell 2013) se analizaron utilizando EstimateS y PAST 3.3 (Hammer et al. 2001).

 Se utilizó el Método no paramétrico de Olmstead-Tukey (Sokal y Rohlf 1981) para el análisis de abundancia de cada especie y su frecuencia de aparición, definiendo especies dominantes (abundantes y frecuentes), especies comunes (poco abundantes y frecuentes), especies ocasionales (abundantes y poco frecuentes) y especies raras (poco abundantes y poco frecuentes).

Para la comparación de cultivos CA1 y CA4 se analizó la diversidad beta, mediante los coeficientes de similitud de Jaccard y Sorensen y análisis multivariante de escalonamiento multidimensional (NMDS) usando el índice de similitud de Bray-Curtis. El primero, es una técnica multivariante de interdependencia que trata de representar, en un espacio geométrico de pocas dimensiones, a las proximidades existentes entre un conjunto de objetos (Guerrero Casas y Ramírez Hurtado 2012). El índice de Bray Curtis es cuantitativo, y se basa en el porcentaje de similitud, es decir, la diferencia total en la abundancia de especies entre dos sitios, respecto a la abundancia total en cada sitio.

La estructura de los gremios presentes se estudió según Cardoso et al. (2011).

Vegetación espontánea

La flora observada y presente durante todo el ciclo de las plantas de alcaucil correspondió a diferentes herbáceas y leguminosas de diversos órdenes (Lamiales, Fabales, Asterales, Caryophyllales y Poales), todas de crecimiento anual. El orden más representado fue Lamiales, donde se encontró Echium plantagineum L., Salvia dudosa L. y Verbena intermedia L. Otro orden bien representado fue Fabales con leguminosas como Trifolium repens L. y Vicia angustifolia (L.). Menos representados estuvieron el O. Poales con Bromus unioloides Kunth, el O. Asterales con Matricaria chamamilla L. y el O. Caryophyllales con Rumex crispus L.

Resultados

Se recolectaron 3929 arañas incluidas en 19 familias, 41 especies y 24 morfoespecies. Las familias más numerosas fueron Linyphiidae (n= 1509) Lycosidae (n= 805), Oxyopidae (n= 301), Theridiidae (n= 216) y Anyphaenidae (n= 206). El resto de las familias estuvieron por debajo de los 150 ejemplares. Las menos numerosas fueron Eutichuridae (n= 3), Corinnidae (n= 7), Desidae (n=1) y Dysderidae (n= 1) (Tabla 1).

 

Tabla 1. Composición Relativa (%) y abundancia (N) de especies/morfoespecies de arañas capturadas en cultivos de alcaucil de 1año (AC1) y 4 años (AC4), en Los Hornos (La Plata), Argentina.

Table 1. Relative composition (%) and abundance (N) of species/morphospecies of spiders captured in 1-year (AC1) and 4-year (AC4) artichoke crops, in Los Hornos (La Plata), Argentina.

Familia

Taxon

AC1

AC4

%

N

%

N

Linyphiidae

Laminacauda montevidensis (Keyserling)

14.35

346

6.85

104

Mermessus sp.

2.45

59

1.12

17

Scolecura parilis Millidge

0.37

9

0.00

0

Ostearius melanopygius (O. Pickard-Cambridge)

3.57

86

1.05

16

Agyneta sp.

2.20

53

1.58

24

Sphecozone modica Millidge

0.25

6

1.98

30

Erigone sp.

5.39

130

5.14

78

Dubiaranea difficilis (Mello-Leitão)

0.50

12

0.40

6

Lygarina sp.

0.04

1

0.00

0

Psilocymbium sp.

0.08

2

0.00

0

Psilocymbium lineatum (Millidge)

0.29

7

0.20

3

Inmaduros

18.83

454

4.35

66

Lycosidae

Alopecosa moesta (Holmberg)

3.40

82

3.16

48

Lycosa pampeana Holmberg

1.16

28

0.46

7

Lycosa erythrognatha Lucas

0.08

2

0.46

7

Schizocosa malitiosa Tullgren

0.12

3

0.33

5

Pardosa flammula Mello-Leitão

1.33

32

1.65

25

Lobizon humilis (Mello-Leitão)

0.75

18

0.86

13

Lobizon otamendi Piacentini & Grismado

0.25

6

0.40

6

Hogna variolosa (Mello-Leitão)

0.12

3

0.00

0

Birabenia vittata (Mello-Leitão)

0.00

0

0.13

2

Diapontia cf. uruguayensis

0.08

2

0.00

0

Inmaduros

12.98

313

13.37

203

Anyphaenidae

Otoniela cf. quadrivittata

0.08

2

0.00

0

Sanogasta maculatipes (Keyserling)

1.99

48

0.66

10

Negayan puno Lopardo

2.45

59

0.20

3

Arachosia sp.

0.25

6

0.59

9

Inmaduros

2.36

57

0.79

12

Oxyopidae

Oxyopes salticus Hentz

5.56

134

11.00

167

Gnaphosidae

Camillina chilensis Simon

0.54

13

4.15

63

Apopyllus cf. silvestrii

0.12

3

0.13

2

Gnaphosidae Indet.

0.33

8

0.46

7

Inmaduros

0.21

5

0.79

12

Tetragnathidae

Glenognatha lacteovittata (Mello-Leitão)

3.07

74

4.28

65

Especies no identificadas

0.04

1

0.00

0

Thomisidae

Misumenops maculissparsus (Keyserling)

0.79

19

0.79

12

Misumenops sp. 1

0.37

9

0.26

4

Misumenops sp. 2

0.21

5

0.07

1

Misumenoides athleticus (Mello-Leitão)

0.79

19

2.24

34

Synaemops pugilator Mello-Leitão

0.33

8

0.20

3

Inmaduros

0.41

10

0.26

4

Hahniidae

Sp. 1 no identificada

0.25

6

7.05

107

Sp. 2 no identificada

0.00

0

0.13

2

Araneidae

Alpaida cf. leucogramma

0.00

0

0.07

1

Araneus sp.

0.00

0

0.26

4

Eustala sp.

0.04

1

0.00

0

Larinia bivittata Keyserling

0.04

1

0.20

3

Sp. no identificada

0.08

2

0.07

1

Immaduros

1.70

41

2.57

39

Salticidae

Dendryphantes ca villaricaensis

0.37

9

0.66

10

Euophrys melanoleuca Mello-Leitão

0.04

1

0.13

2

Sitticus sp.

0.00

0

0.07

1

Inmaduros

0.66

16

0.40

6

Ctenidae

Asthenoctenus borellii Simon

1.37

33

1.38

21

Philodromidae

Paracleocnemis sp.

1.41

34

1.12

17

Theridiidae

Euryopis sp.

0.33

8

8.89

135

Theridion tinctorium Keyserling

0.00

0

0.07

1

Theridion sp.

1.00

24

0.99

15

Thymoites puer (Mello-Leitão)

0.08

2

0.00

0

Thymoites cf. cristal

0.12

3

0.00

0

Guaraniella mahnerti Baer

0.00

0

0.26

4

Dipoena sp.

0.00

0

0.07

1

Dipoena granulata (Keyserling)

0.00

0

0.07

1

Theridiidae no identificada 1

0.04

1

0.00

0

Theridiidae no identificada 2

0.04

1

0.00

0

Inmaduros

0.46

11

0.59

9

Trachelidae

Meriola cetiformis (Strand)

1.12

27

2.44

37

Meriola hyltonae (Mello-Leitão)

0.41

10

0.20

3

Inmaduros

1.08

26

1.32

20

Titanoecidae

Goeldia sp.

0.66

16

0.13

2

Corinnidae

Castianeira sp.

0.04

1

0.40

6

Desidae

Metaltella simonii (Keyserling)

0.00

0

0.07

1

Dysderidae

Dysdera crocata C.L.Koch

0.04

1

0.00

0

Eutichuridae

Cheiracanthium cf. inclusum

0.08

2

0.07

1

 

 

El mayor número de ejemplares fue obtenido con ASP (n=2016) con respecto al obtenido con TRC (n=1506). La especie más abundante fue Laminacauda montevidensis (Keyserling) (Linyphiidae), seguida por Oxyopes salticus Hentz 1845 (Oxyopidae) y Euryopis msp. (Theridiidae).  Los juveniles fueron abundantes, la mayoría indeterminados y algunos identificados como morfoespecies de las familias Linyphiidae (n= 520) y Lycosidae (n= 516). La riqueza específica (S) total fue de 65 especies/morfoespecies (Tabla 2) y las familias con mayor riqueza específica fueron Linyphiidae (S=11), Lycosidae (S=10) y Theridiidae (S=10).

Análisis de diversidad alfa

 Teniendo en cuenta la totalidad de individuos recolectados en los dos años y en los dos cultivos y discriminado por el método de muestreo (ASP y TRC), se obtuvieron valores moderados en los índices de diversidad, si se considera que en la mayoría de los casos los valores para estos índices se ubican entre 1.5 y 3.5, raramente excediendo 4.5 (Magurran 1988) (Tabla 2). La riqueza específica presentó valores similares, mientras que los valores de abundancia fueron mayores en el muestreo con ASP en el cultivo de un año. Los mayores valores del índice de diversidad de Simpson se correspondieron con el muestreo realizado mediante TRC, con valores muy cercanos a 1.

 

Tabla 2. Riqueza específica, abundancia, dominancia, índice de diversidad de Simpson, índice de Shannon, índice de Margalef, índice de equidad y Chao-1 para el total de las arañas capturadas en todos los muestreos, discriminando el año del cultivo (CA1 y CA4) y el método de muestreo (ASP y TRC) en cultivos de alcaucil en La Plata, Argentina.

Table 2. Specific richness, abundance, dominance, Simpson diversity index, Shannon index, Margalef index, equity index and Chao-1 for the total number of spiders captured in all samplings, discriminating the year of cultivation (CA1 and CA4) and the sampling method (ASP and TRC) in artichoke crops in La Plata, Argentina.

 

ASP CA1

ASP CA4

TRC CA1

TRC CA4

Riqueza específica (S)

40

35

34

36

Abundancia

832

438

646

709

Dominancia (D)

0.1426

0.1648

0.09012

0.08397

Simpson (1-D)

0.8574

0.8352

0.9099

0.916

Shannon (H)

2.578

2.542

2.703

2.813

Margalef

5.8

5.59

5.1

5.332

Equidad (J)

0.6988

0.7151

0.7665

0.785

Chao-1

43.5

50

35.67

40.67

 

Método de Olmstead-Tukey

 Se analizó por un lado la totalidad de individuos muestreados en los dos cultivos y unificando los dos tipos de muestreo, y, por otro lado, se analizó separadamente los cultivos CA1 y CA4 uniendo los dos tipos de muestreos (Tabla 3). Los juveniles de Lycosidae fueron los únicos que aparecieron en todos los muestreos y los juveniles más numerosos correspondieron a las familias Linyphiidae (n=520) y Araneidae (n=80).  Las especies dominantes fueron: Erigone sp., Laminacauda montevidensis (Linyphiidae); Alopecosa moesta (Lycosidae), y Glenognatha lacteovittata (Tetragnathidae) (Tabla 1).

 

Tabla 3. Resumen de los análisis realizados mediante el método Olmstead-Tukey de las arañas colectadas utilizando el método del aspirador (ASP) y trampas de caída (TRC) en cultivos de alcaucil (Cynara scolymus) de 1 año (CA1) y 4 años (CA4) de edad, por estación (I, P, V, O). Su aparición está representada según las siguientes categorías: ocasionales (blanco con círculos), raras (negras), comunes (gris oscuro), dominantes (gris claro) y ausentes (blanco).

Table 3. Summary of the analyzes carried out using the Olmstead-Tukey method of spiders collected using the vacuum cleaner method (ASP) and pitfall traps (TRC) in artichoke (Cynara scolymus) cultures of 1 year (CA1) and 4 years (CA4) of age, by season (I, P, V, O). Their appearance is represented according to the following categories: occasional (white with circles), rare (black), common (dark gray), dominant (light gray) and absent (white).

Familia

ESTACION

I-P-V-O

I-P-V-O

I-P-V-O

I-P-V-O

I-P-V-O

I

P

V

O

CULTIVO

CA1+CA4

CA1+CA4

CA1+CA4

CA1

CA4

CA1+CA4

CA1+CA4

CA1+CA4

CA1+CA4

METODO

ASP

TRC

ASP+TRC

ASP+TRC

ASP+TRC

ASP+TRC

ASP+TRC

ASP+TRC

ASP+TRC

Laminacauda montevidensis

Mermessus sp.

 

Scolecura parilis

 

Ostearius melanopygius

Agyneta sp.

Sphecozone modica

Erigone sp.

Dubiaranea difficilis

cf. Lygarina

cf. Psilocymbium

Psilocymbium lineatum

Linyphiidae juveniles

Lycosidae

Alopecosa moesta

Lycosa pampeana

Lycosa erythrognatha

Schizocosa malitiosa

Pardosa flammula

Lobizon humilis

Lobizon otamendi

Hogna variolosa

Birabenia vittata

Diapontia cf. uruguayensis

Lycosidae juveniles

Anyphaenidae

Otoniela cf. quadrivittata

Sanogasta maculatipes

Negayan puno

000000

Arachosia sp.

Anyphaenidae juveniles

Oxyopidae

Oxyopes salticus

000000

Gnaphosidae

Camillina chilensis

Apopyllus cf. silvestrii

Gnaphosidae Indet.

Gnaphosidae juveniles

Tetragnathidae

Glenognatha lacteovittata

Tetragnathidae Morfo Sp. 1

Thomisidae

Misumenops maculissparsus

cf. Misumenops

Misumenops sp.

Misumenoides athleticus

000000

000000

Synaemops pugilator

Thomisidae juveniles

Hahniidae

Hahniidae Morfo Sp.1

000000

Hahniidae Morfo Sp.2

Araneidae

Alpaida cf. leucogramma

 

 

 

 

 

 

 

 

 

Araneus sp.

 

 

 

 

 

 

 

 

 

Eustala sp.

 

 

 

 

 

 

 

 

 

Larinia bivittata

 

 

 

 

 

 

 

 

 

Araneidae Morfo sp.

 

 

 

 

 

 

 

 

 

Araneidae juveniles

 

 

 

 

 

 

 

 

 

Salticidae

Dendryphantes ca. villaricaensis

 

 

 

 

 

 

 

 

 

Euophrys melanoleuca

 

 

 

 

 

 

 

 

 

cf. Sitticus

 

 

 

 

 

 

 

 

 

Salticidae juveniles

 

 

 

 

 

 

 

 

 

Ctenidae

Asthenoctenus borellii

 

 

 

 

 

 

 

 

 

Philodromidae

Paracleocnemis sp.

 

 

 

 

 

 

 

 

 

Theridiidae

Euryopis sp.

 

 

 

 

 

000000

 

 

 

Theridion tinctorium

 

 

 

 

 

 

 

 

 

Theridion sp.

 

 

 

 

 

 

 

 

 

Thymoites puer

 

 

 

 

 

 

 

 

 

Thymoites cf. cristal

 

 

 

 

 

 

 

 

 

Guaraniella mahnerti

 

 

 

 

 

 

 

 

 

Dipoena sp.

 

 

 

 

 

 

 

 

 

Dipoena granulata

 

 

 

 

 

 

 

 

 

Theridiidae Indet. 2

 

 

 

 

 

 

 

 

 

Theridiidae Indet. 1

 

 

 

 

 

 

 

 

 

Theridiidae juveniles

 

 

 

 

 

 

 

 

 

Trachelidae

Meriola cetiformis

 

 

 

 

 

 

 

 

 

Meriola hyltonae

 

 

 

 

 

 

 

 

 

Trachelidae juveniles

 

 

 

 

 

 

 

 

 

Titanoecidae

Goeldia sp.

 

 

 

 

 

 

 

 

 

Corinnidae

Castianeira sp.

 

 

 

 

 

 

 

 

 

Desidae

Metaltellia simonii

 

 

 

 

 

 

 

 

 

Dysderidae

Dysdera crocata

 

 

 

 

 

 

 

 

 

Eutichuridae

Cheiracanthium cf. inclusum

 

 

 

 

 

 

 

 

 

 

Análisis estacional

Teniendo en cuenta los dos métodos de muestreo y la totalidad de las muestras, la mayor cantidad de individuos se registró en primavera y la menor en verano, ambas en el 2015 (1207 individuos y 123 individuos respectivamente) (Fig. 2).

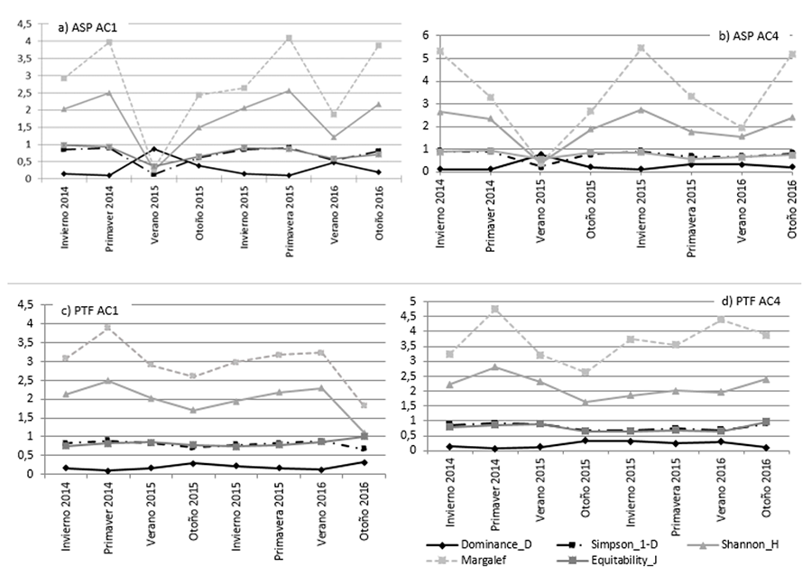
En los dos años de muestreos con aspirador los valores más altos de diversidad correspondieron a primavera y otoño, mientras que los valores más bajos se observaron en verano, especialmente del año 2015 (Fig. 3a y b). En los muestreos con trampas de caída la mayor diversidad correspondió a los meses de primavera y no se registraron bajas tan marcadas como mostró el método del aspirador (otoño 2015-2016) (Fig. 3c y d).

En invierno dominaron los Linyphiidae, especialmente Laminacauda montevidensis, Erigone sp. y sus juveniles, así como Alopecosa moesta (Tabla 3). Dos especies se consideraron ocasionales: Hahniidae Morfo Sp.1 y Euryopis sp., debido a que fueron abundantes, pero sólo se registraron en el CA4. En sentido opuesto, Mermessus sp., aunque presente en ambos cultivos, predominó en el CA1. Del total de especies registradas en este estudio, 11 taxa fueron exclusivas del verano y 18 no se encontraron en esta estación del año. En primavera se registraron cerca de tres veces más individuos que en cualquiera de las otras estaciones del año, dominando Laminacauda montevidensis y los juveniles de Linyphiidae y Lycosidae. Las dos especies consideradas ocasionales lo fueron por distinta situación: Negayan puno sólo se registró en el CA1, y Oxyopes salticus sólo en el año 2015. Del total de especies, 6 taxa fueron exclusivas y 15 no se hallaron en esta estación del año. En verano dominaron los juveniles de Lycosidae, Oxyopes salticus y Euryopis sp. La mayoría de los taxones fueron catalogados como raros debido a la mayor riqueza y abundancia registrada en el verano 2016 respecto al año precedente. Del total de especies, sólo Hogna variolosa (Lycosidae) fue exclusiva y 30 taxones no se hallaron en esta estación del año.  En otoño dominó Oxyopes salticus, encontrándose con mayor abundancia en el año 2016. Otros dominantes fueron los juveniles de Linyphiidae, Erigone sp. (que predominó en el CA4). Se observó una sola especie dentro del grupo de las ocasionales, Misumenoides athleticus, encontrada en otoño 2016 en ambos cultivos. Del total de especies presentes en los cultivos, dos especies fueron exclusivas: Dipoena granulata y Metaltellia simonii, y 23 taxones no se hallaron en el otoño (Tabla 3).

 

Abundancia Relativa del total de arañas recolectadas durante los dos años de estudio (2014-2026).

 

Figura 2. Abundancia Relativa del total de arañas recolectadas durante los dos años de estudio (2014-2016) en cultivos de alcaucil de 1 año (AC1) y 4 años (AC4) en La Plata, Argentina.

Figure 2. Relative Abundance of the total spiders collected during the two years of study (2014-2016) in artichoke crops of 1 year (AC1) and 4 years (AC4) in La Plata, Argentina.

 

Riqueza de Especies (S) del total de arañas recolectadas con los dos tipos de muestreo (ASP = aspirador y PTC = trampas de caída) durante todas las estaciones en cultivos de alcaucil de 1 año (AC1) y 4 años (AC4) en La Plata, Argentina..

 

Figura 3. Riqueza de Especies (S) del total de arañas recolectadas con los dos tipos de muestreo (ASP = aspirador y PTC = trampas de caída) durante todas las estaciones en cultivos de alcaucil de 1 año (AC1) y 4 años (AC4) en La Plata, Argentina.

Figure 3. Species Richness (S) of the total spiders collected with the two types of sampling (ASP = vacuum cleaner and PTC = pitfall traps) during all seasons in 1-year (AC1) and 4-year (AC4) artichoke crops in La Plata, Argentina.

Comparación entre cultivos de alcaucil de distintas edades

El mayor registro de arañas capturadas en todos los muestreos se observó en el cultivo CA1, excepto en otoño de 2016 (Fig. 2). El muestreo con ASP mostró mayor número de individuos recolectados (N=2411), mientras que el muestreo con trampas de caída registró un total de (N=1518) para ambas parcelas. Tanto para el CA1 como para el CA4 las familias Linyphiidae y Lycosidae fueron las de mayor abundancia, donde la primera tuvo una fuerte presencia en el cultivo de un año (Tabla 1). Las familias Oxyopidae (sólo representada por la especie Oxyopes salticus Hentz), Gnaphosidae, Hahniidae y Theridiidae tuvieron mayor presencia en el CA4, mientras que Anyphaenidae se destacó en el CA1 (Tabla 1).

Del total de especies/morfoespecies capturadas en todos los muestreos, Laminacauda montevidensis, Oxyopes salticus y juveniles de Linyphiidae y Lycosidae tuvieron un importante aporte en ambos cultivos, mientras que Euryopis sp. (Theridiidae) y la msp. 1 de la familia Hahniidae tuvieron abundante representación en el CA4 (Tabla 1).

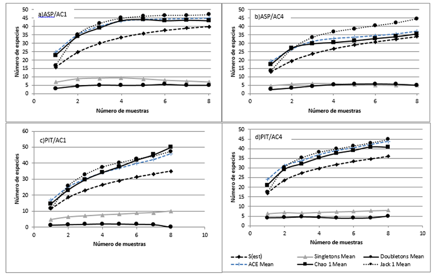
Las curvas correspondientes a los índices de riqueza no paramétricos (Chao 1, Jackknife de primer orden, y ACE) fueron asintóticas únicamente en el CA1 mediante el método de ASP (Fig. 4). Los valores de los estimadores no paramétricos indicarían que aún falta registrar más especies para completar el inventario de arañas en el CA4.

El número de “singletons y doubletons” fue similar para ambos cultivos, siendo levemente mayor en el CA4 mediante el uso del ASP (Fig. 4a y b).  En el CA1, las especies representadas por un solo individuo fueron Tetragnathidae msp., Theridiidae msp. 1 y 2, Dysdera crocata C.L. Koch (Dysderidae), cf. Ligarina msp.  (Linyphiidae) y Eustala msp. (Araneidae), mientras que en el CA4 fueron cf. Sitticus msp. (Salticidae), Theridion tinctorium Keyserling, Diponea granulata (Keyserling) y Diponea msp. (Theridiidae), Alpaida cf. leucogramma (White) (Araneidae) y Metaltellia simonii (Keyserling) (Desidae).

Las especies representadas por dos individuos en CA1 fueron Diapontia cf. uruguayensis Keyserling (Lycosidae), Thymoites puer (Mello-Leitão) (Theridiidae) y cf. Psilocymbium msp. (Linyphiidae) y en CA4 fueron Hahniidae msp. 2 y Apopyllus cf. silvestrii (Simon) (Gnaphosidae).

El índice que más se ajustó a la riqueza de especies real fue el estimador Jackknife 1 para CA1 mediante ASP y para el CA4 por TRC. En el caso de los muestreos realizados en el CA1 el estimador que más se acercó a la riqueza real fue Chao 2 mediante TRC y en el CA4 fue Chao 1 mediante ASP (Fig. 4).

 

Curva de acumulación de especies por los estimadores no paramétricos y curvas de “singletons y doubletons”, para la totalidad de los individuos muestreados en cultivo de 1 año de edad (CA1), y 4 años de edad (CA4), con el método del aspirador (ASP) y trampas de caída (TRC) (La Plata, Argentina)

 

Figura 4.Curva de acumulación de especies por los estimadores no paramétricos y curvas de “singletons y doubletons”, para la totalidad de los individuos muestreados en cultivo de 1 año de edad (CA1), y 4 años de edad (CA4), con el método del aspirador (ASP) y trampas de caída (TRC) (La Plata, Argentina).

Figure 4. Species accumulation curve by non-parametric estimators and “singletons and doubletons” curves, for all individuals sampled in culture at 1 year of age (CA1), and 4 years of age (CA4), with the vacuum cleaner method (ASP) and pitfall traps (TRC) (La Plata, Argentina).

 

Análisis de diversidad beta

Los índices de Jaccard y Sorensen mostraron los valores más altos mediante ASP en primavera 2015 y otoño 2016 (Jaccard= 54% y 53% respectivamente y Sorensen= 70% en las dos estaciones mencionadas) (Tabla 4); para el muestreo mediante TRC, los porcentajes más altos de los índices de Jaccard y Sorensen fueron en verano 2016, primavera 2014 y verano 2015 (Jaccard= 67%, 64%, 60% respectivamente y Sorensen= 80%, 78%, 75% respectivamente) (Tabla 4).

Al analizar la riqueza específica (S) obtenida por los diferentes métodos de muestreo, se pudo observar la presencia de algunas especies/morfoespecies que solo aparecieron en uno de los dos cultivos (Tabla 5). Ambos cultivos compartieron 51 taxones, exceptuando a Scolecura parilis Millidge (Linyphiidae), presente sólo en el CA1 con 9 individuos y a Guaraniella mahnerti Baer (Theridiidae) y Araneus msp. (Araneidae), presentes sólo en el CA4 con 4 individuos cada una, el resto de los ejemplares por especie/morfoespecie obtenidos exclusivamente para cada edad de cultivo, no superaron los 3 ejemplares cada una. Las familias Dysderidae y Desidae, estuvieron representadas por una sola especie con un solo individuo en CA1 y CA4 respectivamente. 

 

Tabla 4. Diversidad beta estacional en cultivos de alcaucil (Cynara scolymus) de 1 (CA1) y 4 años (CA2), con el método de muestreo mediante aspirador y trampas de caída (La Plata, Argentina).

Table 4. Seasonal beta diversity in artichoke (Cynara scolymus) crops of 1 (CA1) and 4 years (CA2), with the sampling method using vacuum cleaner and pitfall traps (La Plata, Argentina).

Aspirador

 

Trampas de caída

Estación

Jaccard

Sorensen

 

Jaccard

Sorensen

Invierno 2014

0.22

0.36

 

0.52

0.69

Primavera 2014

0.18

0.31

 

0.64

0.78

Verano 2015

0.33

0.50

 

0.60

0.75

Otoño 2015

0.27

0.42

 

0.24

0.38

Invierno 2015

0.29

0.44

 

0.41

0.58

Primavera 2015

0.54

0.70

 

0.57

0.72

Verano 2016

0.39

0.56

 

0.67

0.80

Otoño 2016

0.53

0.70

 

0.15

0.27

 

Tabla 5. Especies/morfoespecies presentes sólo en el cultivo de 1 año (CA1) y en el de 4 años (CA4) (La Plata, Argentina).

Table 5. Species/morphospecies present only in the 1-year (CA1) and 4-year (CA4) crops (La Plata, Argentina).

Familias

Especies/Morfoespecies presentes en CA1

Especies/Morfoespecies presentes en CA 4

Linyphiidae

Scolecura parilis

 

cf. Lygarina msp.

 

cf. Psilocymbium msp.

 

Lycosidae

Hogna variolosa

Birabenia vittata

Diapontia cf. uruguayensis

 

Anyphaenidae

Otoniela cf. quadrivittata

 

Tetragnathidae

Tetragnathidae msp. 1

 

Araneidae

Eustala msp.

Alpaida cf. leucogramma

 

 

Araneus msp.

Theridiidae

Thymoites puer

Theridion tinctorium

Thymoites cf. cristal

Guaraniella mahnerti

Theridiidae msp.2

Dipoena msp.

Theridiidae msp. 1

Dipoena granulata

Dysderidae

Dysdera crocata

 

Hahniidae

 

Hahniidae msp.2

Salticidae

 

cf. Sitticus msp.

Desidae

 

Metaltellia simonii

 

Análisis multivariados

El análisis de la matriz de similitud del total de muestreos para todas las estaciones y para ambos cultivos, muestra una gran similitud entre las asociaciones de especies correspondientes a cada estación, excepto en el otoño 2015 en el CA1 con ASP (Fig. 5a) y en el otoño 2016 en el CA1 con TRC (Fig. 5b). 

Estructura de gremios                                                                                                                                           

Las arañas muestreadas durante todo el período estudiado fueron agrupadas en siete gremios en el CA1 y seis en CA4 por estar ausente el gremio especialista (Tabla 5).

En ambos cultivos el gremio con mayor presencia fue el de tejedoras de tela sábana, con un alto porcentaje de Linyphiidae, seguido por cazadoras de suelo, donde Lycosidae fue la más abundante.  Dentro del gremio otras cazadoras, Anyphaenidae es la familia con mayor porcentaje en el CA1 y Oxyopidae en el CA4 y dentro de tejedoras de telas espaciales, Theridiidae lo fue en el CA4. (Tabla 5).

 

Matriz de similitud en base a Bray-Curtis para los muestreos realizados mediante aspirador y trampas de caída, por cada estación y edad del cultivo de alcaucil (Cynara scolymus) (La Plata, Argentina). a: Aspirador, b: Trampas de caída

 

Figura 5. Matriz de similitud en base a Bray-Curtis para los muestreos realizados mediante aspirador y trampas de caída, por cada estación y edad del cultivo de alcaucil (Cynara scolymus) (La Plata, Argentina). a: Aspirador, b: Trampas de caída.

Figure 5. Similarity matrix based on Bray-Curtis for sampling carried out by vacuum cleaner and pitfall, for each season and age of the artichoke (Cynara scolymus) crop (La Plata, Argentina). a: Vacuum cleaner, b: Pitfall traps.

Discusión

El total de familias encontrado en los cultivos de alcaucil representó el 27.94 % del total de familias presentes en Argentina según datos del World Spider Catalog (2021). El valor de porcentaje bajo es esperable tratándose de un monocultivo, donde se reduce drásticamente la diversidad de la vegetación ofreciendo menos lugares para el establecimiento de las arañas, y donde, además suelen aplicarse pesticidas de manera regular (Altieri 1995; Pengue y Altieri 2005; Yong 2010; Blanco-Valdes 2016; Gabellone 2019). De las 19 familias presentes, cinco de ellas representaron el 62,93% del total de arañas recolectadas (Linyphiidae, Lycosidae, Oxyopidae, Theridiidae y Anyphaenidae), al igual que en cultivos de soja, algodón, girasol y sandía según Almada et al. (2012) y Cunha et al. (2015), donde solamente 4 familias representaron entre el 72% y 95% respectivamente.

La familia de mayor abundancia en ambos cultivos fue Linyphiidae (31.27%), siendo la segunda de mayor riqueza del mundo (WSC 2021), y está ampliamente distribuida en ambientes agropastoriles debido a su capacidad de adaptarse a sistemas con alto grado de perturbación (Schmidt y Tscharntke 2005). Nyffeler y Sunderland (2003) compararon las comunidades de arañas en cultivos de Estados Unidos y de Europa, y obtuvieron altos porcentajes de Linyphiidae para Europa y bajos para Estados Unidos, llegando a la conclusión de que estos valores coinciden con latitudes por debajo o por encima del Ecuador respectivamente. Respondiendo a esta tendencia, en varios trabajos realizados en cultivos de Argentina, la presencia de esta familia se mantuvo en porcentajes bajos (Armendano 2007; Benamú et al. 2010; Ávalos et al. 2013; Almada et al. 2015). Sin embargo, Argañaraz et al. (2018) encontraron un porcentaje del 33.9% en sitios urbanos de la ciudad de Córdoba (Argentina), coincidiendo con su adaptación a sistemas con alto grado de perturbación y dando un resultado semejante al de este trabajo.

En importancia numérica le siguieron las familias Lycosidae (16.68%), Oxyopidae (6.24%), Theridiidae (4.48%) y Anyphaenidae (4.27%), familias que también aparecen en porcentajes semejantes en muestreos realizados en otros cultivos (Armendano 2007; Armendano y González 2009; González et al. 2009; Armendano y González 2011; Ávalos et al. 2013; Almada et al. 2015). Las familias Linyphiidae y Lycosidae se las considera como las primeras colonizadoras de campos cultivados (Bishop y Riechert 1990; Minervino 1996).

Con respecto a la abundancia de arañas capturadas en cada cultivo, se reflejó una amplia diferencia (CA1= 2411, CA4=1518), siendo la riqueza específica total de 65 sp/msp. Estos valores de riqueza superaron valores encontrados en otros cultivos de Argentina (Armendano 2007; Armendano y González 2010, 2011; Benamú 2010; Almada et al. 2012) pudiendo deberse en gran medida a la variedad de flora espontánea que dejan crecer entre las plantas de alcaucil. Los ejemplares juveniles de las familias Lycosidae (arañas errantes, cazadoras que viven en madrigueras) y Linyphiidae (tejedoras de telas sábanas), superaron ampliamente los valores de los adultos, coincidiendo con varios trabajos realizados en otros cultivos (Armendano y González 2010, 2011; Almada et al. 2015). El alto porcentaje del total de los juveniles capturados en este monocultivo es coincidente con lo manifestado por otros autores como Danisman et al. (2007), Rodrigues et al. (2008), Armendano y González (2009), Ávalos et al. (2013). Esto último, con relación al tipo de supervivencia que evidencian las arañas, con una alta tasa reproductiva, alto número de descendientes con una mortalidad temprana intensa, mientras que, los individuos que logran sobrevivir tienen una elevada tasa de supervivencia.

Tanto la abundancia como la riqueza de arañas se encuentran mayormente relacionadas con características de la vegetación que le puedan proveer de áreas de refugio, sitios de reproducción y disponibilidad de alimento (Rypstra y Carter 1995; Samu y Lovei 1995; Rypstra et al. 1999). El CA1 está formado por plantas jóvenes, de mayor porte y más vigorosas, poseen hojas más anchas, más verdes y mayor cantidad lo que favorece la presencia de arañas, sobre todo las pertenecientes a los gremios de tejedoras. En el CA4, las plantas, al tener mayor antigüedad, tienen un menor porte, hojas más pequeñas y menos numerosas, e incluso, se forman baches en lugares donde algunas plantas ya murieron, lo que disminuye los sitios favorables para la instalación de las arañas. Una mayor vigorosidad de las plantas sin duda atrae más cantidad de presas y más refugios para los enemigos naturales.

Gran parte de las fincas hortícolas de la zona de La Plata poseen parches de vegetación semi-natural rodeando los cultivos, formados por una mezcla de vegetación típica de la zona y vegetación plantada por el productor como parte de su manejo, generando ambientes heterogéneos en estructura y composición (Paleologos et al. 2008). Este puede ser otro de los motivos posibles en la diferencia del total de arañas, considerando a los diferentes ambientes que rodean a cada cultivo, posibles zonas de recolonización.

Los valores de diversidad fueron altos. Según Magurran (1988), valores mayores a 5.0 en el índice de Margalef, que para este estudio oscilaron entre 5.1 y 5.8, indican una alta diversidad y los valores para Shannon-Wiener (H´) varían entre 1.5 y 3.5, rara vez excediendo el valor de 4.5. La riqueza específica fue más alta para el ASP en el CA1, pero fue muy pareja en el resto de los análisis. Los cultivos hortícolas presentan un tiempo de permanencia en el sistema, actividades y técnicas de manejo propias, que se traducen en disturbio, reduciendo las poblaciones de muchos artrópodos, alterando microclimas y la disponibilidad para asentar telas o comunidades estables (Thomas y Jepson 1997; Sunderland y Samu 2000). La alta heterogeneidad de la flora existente en los cultivos de alcaucil, que proporciona mayor variedad de microhábitats y microclimas (Begon et al. 2006), se contrapone en parte, al disturbio ocasionado por la antropización, aumentando los recursos y favoreciendo así la biodiversidad.

Los gráficos de análisis estacional correspondientes a los individuos obtenidos a través del método del ASP en ambos cultivos muestran valores bajos para el verano de los años 2015 y 2016 (Fig. 3a y b), lo que puede explicarse debido al tratamiento habitual con plaguicidas para el pulgón, que se realiza entre finales del mes de febrero y principios del mes de marzo. Esto fue más notorio en el verano del 2015, y podría deberse a que en esa estación hubo escasos mm de precipitación, evitando el lavaje del plaguicida. Es de destacar, que el uso de pesticidas en el cultivo de alcaucil contribuye al detrimento de la biodiversidad de la artropofauna y en particular a las comunidades de arañas, que evidencian una mayor susceptibilidad entre los ejemplares adultos (Gabellone 2019). El uso de plaguicidas para tratar al pulgón afectó de manera importante a las arañas del estrato herbáceo capturadas por el ASP, mientras que no ocurrió lo mismo con las arañas del estrato suelo. Luego de la postcosecha en la estación de primavera crecen tanto las plantas de alcaucil como la flora espontánea, dando los valores más altos de ejemplares colectados y la aparición de arañas raras, “singletons” y “doubletons”.

Los gráficos obtenidos mediante el NMDS muestran una clara similitud entre las estaciones climáticas, formando grupos bien marcados. Esta similitud entre las asociaciones de especies para cada estación del año puede estar dada por condiciones meteorológicas de cada estación, sumado a las prácticas relacionadas al cultivo y al estado de desarrollo de la planta.

Los índices no paramétricos mostraron valores muy similares, siendo el Jackknife, el Chao1 y el Chao2 los que más se ajustaron a la riqueza de especies. Estos resultados son similares a los registrados por Armendano (2007), Almada (2014) y Marfil et al. (2015).

Las curvas de acumulación de especies resultaron asintóticas, lo que es esperable para las arañas de distintos estratos (herbáceo y suelo) ya que conforman grupos ecológicamente distintos y a lo que se suma la gran cantidad de especies raras (singletons y doubletons). En los inventarios de arañas cuantas más especies raras o especies nuevas provenientes de otros lugares haya, mayor será el número de especies que queden por encontrarse (Jiménez-Valverde y Hortal 2003).

La diversidad beta se incrementa con la variabilidad ambiental. Koleff (2005) postula que al haber una alta diversidad de hábitat y de variación en las condiciones ambientales, existen altas tasas de recambio de especies. Los valores obtenidos al comparar ambos cultivos dieron valores de Jaccard y Sorensen similares, rondando el 50% para las estaciones de otoño del 2016 y primavera del 2015, estaciones en las cuales ambos cultivos compartirían mayor cantidad de especies. Al analizar los listados de especies no compartidas entre ambos cultivos, se observa que la mayoría pertenece a los singletons y doubletons, con excepción de Scolecura parilis (9 individuos), Castianeira sp. (7 ind.), Apopyllus cf. Silvestrii (5 indv.), Araneus sp. (4 indv.), Thymoites cf. Cristal (3 indv.) y Hogna variolosa (3 indv.).

Con respecto a los gremios, los más representados fueron las tejedoras de tela sábana y las cazadoras de suelo. A pesar de tratarse de un monocultivo, al igual que lo observado en Almada 2014, se vieron bien representados los estratos, permitiendo una repartición espacial de los nichos, favoreciendo la coexistencia de diferentes especies asociadas a presas similares.

Este trabajo es el primero para Argentina referido a la comunidad de arañas presente en cultivos de alcaucil. Estudios sobre arañas de este cultivo para otros países son escasos. Larco Aguilar (2018) analizó cultivos de alcaucil de Perú donde registra también un alto porcentaje de Linyphiidae, cuyos géneros son coincidentes con los encontrados por nosotros (Mermessus, Laminacauda, Agyneta y Erigone), pero con especies diferentes. Goh y Lange (1989) y Solomou et al. (2015) realizaron muestreos de la artropofauna de cultivos de alcaucil en California y en el Mediterráneo respectivamente, pero solo a nivel del orden Araneae.

La información obtenida en este análisis, junto a la de otros estudios realizados en cultivos diferentes permitirá profundizar el conocimiento de la araneofauna adaptada a ambientes agrícolas con alto grado de perturbación antrópica. A través de este estudio, se demuestra que su abundancia y presencia a lo largo del desarrollo fenológico del cultivo de alcaucil, les otorga potencialidades como posibles reguladoras de poblaciones de insectos y evitar la colonización de plagas del cultivo.

Disponibilidad de datos

Este artículo no utiliza conjuntos de datos.

Agradecimientos

Este trabajo fue apoyado por becas de la Universidad Nacional de La Plata a AG, PICT 2011-1752 de la Agencia Nacional de Promoción de la Ciencia y la Tecnología (ANPCyT), PIP 0205 del Consejo Nacional de Investigación Científica y Tecnológica (CONICET), PUE 00036 de CONICET, y becas doctorales y posdoctorales de CONICET a CG. Los autores quieren agradecer a los propietarios del cultivo de alcachofa su buena voluntad, ayuda y hospitalidad. Cristian Grismado y Martín Ramírez (MACN, Museo Argentino de Ciencias Naturales, Buenos Aires, Argentina) ayudaron en la identificación de arañas.

Contribución de los autores

Cecilia Gabellone análisis e investigación. Andrea Armendano redacción, revisión y edición. Alda González supervisión, metodología, redacción.

Referencias

Almada, M. 2014. Biodiversidad y densidad de arañas (Araneae) en un sistema agropastoril, tendientes a mejorar el impacto de los enemigos naturales sobre insectos plaga. Tesis de Doctorado, Universidad Nacional de La Plata, Buenos Aires, Argentina. Disponible en: https://sedici.unlp.edu.ar/handle/10915/34072

Almada M., Sosa M., González A. 2012. Araneofauna (Arachnida, Araneae) en cultivos de algodón (Gossypium hirsutum L.) transgénicos y convencionales en el Norte de Santa Fé, Argentina. Revista de Biología Tropical 60: 611-623.

Almada, M., González, A., Corronca, A.J. 2015. Cambios en la comunidad de arañas (Arachnida: Araneae) en períodos de barbecho y de cultivos de soja en el Norte de Santa Fe, Argentina. Universidad Nacional de La Plata. Facultad de Agronomía; Revista de la Facultad de Agronomía 115: 55-65. http://hdl.handle.net/11336/58483  

Altieri, M.A. 1995. Agroecology: the Science of Sustainable Agriculture. Westview Press, Boulder, CO, USA.

Argañaraz, C.I., Rubio, G., Gleiser, R.M. 2018. Spider communities in urban green patches and their relation to local and landscape traits. Biodiversity and Conservation 27: 981-1009. https://doi.org/10.1007/s10531-017-1476-8

Armendano, A. 2007. Estudio de la araneofauna presente en agroecosistemas de importancia económica (trigo y alfalfa). Tesis de Doctorado, Universidad Nacional de La Plata, Argentina. Disponible en: https://sedici.unlp.edu.ar/handle/10915/4368

Armendano, A., González, A. 2009. Comunidad de arañas (Arachnida, Araneae) del cultivo de alfalfa (Medicago sativa) en Buenos Aires, Argentina. Revista de Biología Tropical 58: 747-757.

Armendano, A., González, A. 2010. Estudio de la comunidad de arañas (Arachnida, Araneae) del cultivo de alfalfa en la provincia de Buenos Aires, Argentina. Revista de Biología Tropical 58: 747-757.

Armendano, A., González, A. 2011. Spider fauna associated to wheat crops and adjacent habitats in Buenos Aires, Argentina. Revista Mexicana de Biodiversidad 82: 1176-1182

Armendano, A., Rouaux, J., Salazar Martínez, A. 2018. Fauna edáfica asociada a un cultivo hortícola convencional de tomate (Lycopersicum Esculentum Mill.) en La Plata (Buenos Aires, Argentina). Acta zoológica mexicana 34.

Ávalos, G., Bar, M.E., Oscherov, E., González, A. 2013. Diversidad de Araneae en cultivos de Citrus sinensis (Rutaceae) de la Provincia de Corrientes, Argentina. R Revista de Biología Tropical 61: 1243-1260.

Baloriani, G.I., Marasas, M., Benamú, M.A., Sarandón, S.J. 2010. Estudio de la macrofauna edafica (Orden Araneae). Su riqueza y abundancia en invernáculos sujetos a un manejo convencional y en transición agroecológica. Partido de La Plata, Argentina. Agroecología 5, 33-40.

Beltramo, J., Berolaccini, I., González, A. 2006. Spiders of soybean crops in Santa Fe Province, Argentina: Influence of surrounding spontaneous vegetation on lot colonization. Brazilian Journal of Biology 66: 891-898.

Begon, M., Townsend, C.R., Harper, J.L. 2006. Ecology: From individuals to ecosystems, Blackwell Publishing Ltd, Oxford, UK.

Benamú, M. 2010. Composición y estructura de la comunidad de arañas en el sistema de cultivo de soja transgénica. Tesis de Doctorado, Universidad Nacional de La Plata, Argentina. Disponible en: https://sedici.unlp.edu.ar/handle/10915/82345

Benamú, M., Schneider, M., Sánchez, N. 2010. Effects of the herbicide glyphosate on biological attributes of Alpaida veniliae (Araneae, Araneidae), in laboratory. Chemosphere 78: 871-876.

Bishop, L., Riechert, S. 1990. Spider colonization of agroecosystems: Mode and source. Environmental Entomology 19: 1738-1745.

Blanco Valdes, Y. 2016. El rol de las arvenses como componente en la biodiversidad de los agroecosistemas. Cultivos Tropicales 37(4), 3456. https://doi.org/10.13140/RG.2.2.10964.19844

Cardoso, P., Pekár, S., Jocqué, R., Coddington, J. 2011. Global patterns of guild composition and functional diversity of spiders. PLoS ONE 6(6) https://doi.org/10.1371/journal.pone.0021710

Chao, A. 1984. Nonparametric estimation of the number of classes in a population. Scandinavian Journal of Statistics 11: 265-270.

Coldwell, R.K. 2013.  EstimateS: Statistical estimation of species richness and shared species from samples. Version 9. User’s Guide and Application. http://purl.oclc.org/estimates [accessed 16 September 2021].

Colwell, R., Coddington, J. 1994. Estimating terrestrial biodiversity through extrapolation. Philosophical Transactions of the Royal Society of London. Series B, Biological Sciences 345: 101-118.

Cunha, J., Andrade, E., Silva, P., Barros, R. 2015. Araneofauna (Arachnida, Araneae) in conventional and organic crops of watermelon (Citrullus lanatus) in northeastern Brazil. Revista Colombiana de Entomología 41 (1): 68-75.

Danisman, T., Bayram, A., Corak, I., Yigit, N. 2007. An investigation on spider fauna of cereal fields in Antalya (Araneae). International Journal of Natural and Engineering Sciences 1: 17-23.

Gabellone, C. 2019. Estudio de la comunidad de arañas en alcaucil y su rol como bioindicadoras de disturbios ecológicos a través de su susceptibilidad a plaguicidas. Tesis de Doctorado, Universidad Nacional de La Plata, Argentina. Disponible en: https://sedici.unlp.edu.ar/handle/10915/73591

García, S.M., Cravero, V.P. 2016. Proceedings of the IX International Symposium on Artichoke, Cardoon and Their Wild Relatives. ISHS Acta Horticulturae 1147. Available at https://www.ishs.org/ishs-book/1147

García, E., Cravero, V., López Anido, F., Cointry, E. 2014. El cultivo de la alcachofa en Argentina. Serie Documentos. Facultad de Ciencias Agrarias. Universidad Nacional de Rosario-Argentina. Rosario, Argentina y Grupo THM. http://www.poscosecha.com/es/publicaciones/

García, S.M., Cravero, V., López Anido, F., Cointry, E. 2017. El cultivo de la alcachofa en Argentina. En: Namensy, A., Delgado, A., Pasasseit, P., Conesa, C., Namensy, C., Rodríguez, M. (Coord.), Info espárrago y alcachofa 2017, pp. 6-20. SPE 3, Especialistes en Serveis per a la Producció Editorial SL, Valencia, España. Disponible en: https://issuu.com/horticulturaposcosecha/docs/info_esparrago_alcachofa_2016-17

Goh, K., Lange, W. 1989. Microarthropods Associated with Insecticide-Treated and Untreated Artichoke Fields in California. Journal of Economic Entomology 82(2): 621-625.

González, A., Liljesthröm, G., Castro, D., Armendano, A. 2009. Development and recruitment of Misumenops pallidus (Keyserling) (Araneae: Thomisidae), and its synchrony with three potential prey species in soybean cultures from Argentina. Entomological News 120: 41- 52 https://doi.org/10.3157/021.120.0110

Green, J. 1996. Spiders in biological control - An Australian perspective. Revue suisse de Zoologie 1: 245-253.

Grismado, C., Ramírez M.J., Izquierdo, A. 2014. Araneae: taxonomía, diversidad y clave de identificación de familias de la Argentina. Pp. 55-94. En: Roig-Juñent, S., Claps, L.E., Morrone, J.J. (Directores). Biodiversidad de Artrópodos Argentinos, volumen 3. Editorial INSUE - UNT, San Miguel de Tucumán, Argentina.

Guerrero Casas, F., Ramírez Hurtado, J. 2012. El análisis de escalamiento multidimensional: una alternativa y un complemento a otras técnicas multivariantes. La Sociología En Sus Escenarios 25. Recuperado a partir de https://revistas.udea.edu.co/index.php/ceo/article/view/11450

Hammer, Ø, Harper, D.A., Ryan, P. 2001. PAST: Paleontological Statistics software package for education and data analysis. Palaeontologia Electronica 4: 4.

Jiménez Valverde, A., Hortal, J. 2003. Las curvas de acumulación de especies y la necesidad de evaluar la calidad de los inventarios biológicos. Revista Ibérica de Aracnología 8: 151-161.

Koleff, P. 2005. Conceptos y medidas de la diversidad beta. En: Halffter, G., Soberón, J., Koleff, P., Melic, A. (Eds.), Sobre diversidad biológica: el significado de las diversidades alfa, beta y gamma, pp. 19-40. m3m-Monografías 3ercer Milenio, vol. 4. SEA, CONABIO, Grupo DIVERSITAS y CONACYT, Zaragoza, España.

Larco Aguilar, A.V. 2018. Entomofauna predadora de suelo en alcachofa (Cynara scolymus L.) y palta (Persea americana M.) en Vegueta, provincia Huaura- Lima. Universidad Nacional Agraria la Molina. Lima. Perú.

Levi, H., Levi, L. 1962. The genera of the spiders family Theridiidae. Bulletin of the Museum of Comparative Zoology 127: 1-71.

Liljesthröm, G., Minervino, E., Castro, D., González, A. 2002. La comunidad de arañas del cultivo de soja en la provincia de Buenos Aires, Argentina. Neotropical Entomology 31: 197-209. https://doi.org/10.1590/S1519-566X2002000200005 

Magurran, A.E. 1988. Ecological diversity and its measurement. Princeton University Press, New York, USA.

Marfil, M.F., Scioscia, C.L., Armendano, A., González, A. 2015. Diversity of Salticidae (Arachnida: Araneae), in the historical and natural reserve “Martín Garcia Island”, Argentina. Journal of Natural History 50: 689-700.

Mashavakure, N., Mashingaidze, A., Musundire, R., Nhamo, N., Gandiwa, E., Thierfelder, C., Muposhi, V. 2019. Spider community shift in response to farming practices in a sub-humid agroecosystem of southern Africa. Agriculture, Ecosystems & Environment 272: 237-245.

Millidge, A. 1991. Further linyphiid spiders (Araneae) from South America. Bulletin of the American Museum of Natural History 205: 1-199.

Minervino, E. 1996. Estudio biológico y ecobiológico de arañas depredadoras de plagas de soja. Tesis de Doctorado, Universidad Nacional de La Plata, Argentina. Disponible en: http://sedici.unlp.edu.ar/handle/10915/4758

Nyffeler, M., Sunderland, K. 2003. Composition, abundance and pest control potential of spider communities in agroecosystems: a comparison of European and US studies. Agriculture, Ecosystems & Environment 95: 579-612.

Paleologos, M.F., Flores, C., Sarandon, S., Stupino, S., Bonicatto, M. 2008. Abundancia y diversidad de la entomofauna asociada a ambientes seminaturales en fincas hortícolas de La Plata, Buenos Aires, Argentina. Revista Brasileira de Agroecologia 3: 28-40.

Pengue, W., Altieri, M.A. 2005. La soja transgénica en América Latina. Una maquinaria de hambre, deforestación y devastación socio ecológica. Ecología política (30), 87-94. Disponible en: https://www.ecologiapolitica.info/wp-content/uploads/2017/06/030_Altierietal_2006.pdf

Ramírez, M.J. 1999. Clave para familias de Arañas Argentinas. En: Roig-Juñent S.L., Claps L.E., Morrone J.J. (eds.), Biodiversidad de artrópodos argentinos. Universidad Nacional de Tucumán, San Miguel de Tucumán, Argentina. p. 90-94.

Rodrigues, E.N., Mendonça, L., Ott, R. 2008. Fauna de aranhas (Arachnida, Araneae) em diferentes estágios do cultivo do arroz irrigado em Cachoeirinha, RS, Brasil. Iheringia. Série Zoologia 98 (3): 362-371. https://doi.org/10.1590/S0073-47212008000300011

Rypstra, A.L., Carter, P. 1995. Top-down effects in soybean agroecosystems: Spider density affects herbivore damage. Oikos 72: 433-439. https://doi.org/10.2307/3546129

Rypstra, A.L., Carter, P., Balfour, R., Marshal, S. 1999. Architectural features of agricultural habitats and their impacts on the spider inhabitants. Journal of Arachnology 27(1): 371-377. Available at: https://www.jstor.org/stable/3706009

Samu, F., Lövei, G. 1995. Species richness of a spider community (Araneae): extrapolation from simulated increasing sampling effort. European Journal of Entomology 92(4): 633-638. Available at: https://www.eje.cz/pdfs/eje/1995/04/06.pdf

Schmidt, M., Tscharntke, T. 2005. The role of perennial habitats for Central European farmland spiders. Agriculture, Ecosystems & Environment 105: 235- 242. http://dx.doi.org/10.1016/j.agee.2004.03.009

Sokal, R., Rohlf, F.J. 1981. Biometry. W.H. Freeman and Company, San Francisco, CA, USA.

Solomou, A.D., Molla, A., Skoufogianni, E., Pavlocek, T., Nicholaor, G. 2015. Environmental responses of soil arthropod communities to low input cultivation of Cynara cardunculus in the mediterranean region. Journal of Advanced Studies in Agricultural, Biological and Environmental Sciences 2(4). Available at: http://jabe.in/2.4.15/71-82%20ALEXANDRA%20D.%20SOLOMOU.pdf

Strassera, M.E., Schneider, M., Pretti Slanco, V., Caballero, E., Kuzmanich, R., Mirande, L., Haramboure, M., et al. 2013. Enemigos naturales asociados al cultivo de alcaucil en el Cinturón Hortícola Platense. [Comunicación en congreso] XXXVI Congreso Argentino de Horticultura,Tucumán, Argentina. Horticultura Argentina 32 (79): 73.

Sunderland, K., Samu, F. 2000. Effects of agricultural diversification on the abundance, distribution, and pest control potential of spiders: a review. Entomologia Experimentalis et Applicata 91(1): 1-13 https://doi.org/10.1046/j.1570-7458.2000.00635.x

Thomas, C.F., Jepson, P.C. 1997. Fieldscale effects of farming practices on linyphiid spider populations in grass and cereals. Entomologia Experimentalis et Applicata 84(1): 59-69. https://doi.org/10.1046/j.1570-7458.1997.00198.x

Yong, A. 2010. La biodiversidad florística en los sistemas agrícolas. Cultivos tropicales 31(4). Recuperado de: https://ediciones.inca.edu.cu/index.php/ediciones/article/view/71

World Spider Catalog 2021. World Spider Catalog, Version 22.0. Natural History Museum, Bern, Germany. [online] (Accesed on 2 July 2021). Available at: http://wsc.nmbe.ch