ecosistemas

ISSN 1697-2473

Open access / CC BY-NC 4.0 

© 2024 The authors

 

MONOGRAPHIC: Biodiversity and functioning of intermittent rivers: challenges in a context of global change

Editors: Pilar Hurtado & Rebeca Arias-Real

 

Ecosistemas 33(1): 2611 [January-April 2024]: https://doi.org/10.7818/ECOS.2611

 

REVIEW ARTICLE

 


 

Shrinkage and desiccation: evaluating the streambed bacterial responses to intermittent water deficit

Giulia Gionchetta1,2 * ORCID logo, Anna Maria Romaní2 ORCID logo

 

(1)   Eawag, Swiss Federal Institute of Aquatic Science and Technology, Department of Surface Waters – Research and Management, 6047 Kastanienbaum, Switzerland.

(2)    GRECO-Institute of Aquatic Ecology, University of Girona. Cataluña, España. 

 

Corresponding author*: G. Giulia [giulia.gionchetta@eawag.ch] 

 

> Received 25 July 2023 - Accepted 21 November 2023

How to cite: Gionchetta, G., Romani, A.M. 2024. Shrinkage and desiccation: evaluating the streambed bacterial responses to intermittent water deficit. Ecosistemas 33(1): 2611. https://doi.org/10.7818/ECOS.2611

Shrinkage and desiccation: evaluating the streambed bacterial responses to intermittent water déficit

Abstract: Hydrological drought, characterized by a significant deficiency in rainfall events, promotes natural desiccation processes. The reduction in water recharge and the loss of freshwater ecosystems pose urgent challenges in the face of increasing global population and the escalating demand for water resources.

The variability in the duration of no-flow periods can have profound implications for ecosystem functioning, specifically impacting the microbiota residing in streambed sediments and the vital processes they perform. The streambed serves as an ecotone where microorganisms form biofilms, playing critical roles in in-stream biogeochemical cycles and greenhouse gas emissions. Consequently, prolonged desiccation periods and subsequent rewetting episodes can disrupt, limit, or alter the functions and structure of microbial communities, thereby compromising the overall functioning of aquatic ecosystems. Understanding how streambed microbial communities respond to prolonged desiccation events is crucial.

This revision manuscript provides a synthesis of recent empirical and experimental studies that have explored various aspects of streambed microbial communities in the context of diverse drying-rewetting periods. A special focus is placed on highlighting key microbial community structural and functional responses that could be used as endpoints of responses to desiccation. In particular, we showed the greater expression of the phenol-oxidase activity among the intermittent streambeds submitted to long-term drought. This result suggested a potential begin of transition from freshwater to terrestrial systems. Additionally, we observed a tendency of decreasing bacterial diversity in the dry conditions together with a change in the relative abundance of certain microbial taxa and a general shift from Gram-negative to Gram-positive bacteria. All of these evidences strengthened the similarity between the dry streambed systems studied and a (dry)-soil environment, suggesting that prolonged and unusual dry periods could boost the terrestrial transition of the aquatic intermittent ecosystem.

By summarizing these findings, we aim to enhance our understanding of the responses exhibited by streambed microbiota in the face of desiccation events. The synthesized results may further provide potential diagnosis and/or management tools for intermittent freshwater ecosystems functioning.

Keywords: bacteria; desiccation; drought; intermittent rivers; microbial communities

Contracción y desecación: evaluación de las respuestas bacterianas del lecho del río al déficit hídrico intermitente

Resumen: La sequía hidrológica, caracterizada por una deficiencia significativa de las precipitaciones, favorece los procesos naturales de desecación. La reducción de la recarga de agua y la pérdida de ecosistemas de agua dulce plantean retos urgentes ante el aumento de la población mundial y la creciente demanda de recursos hídricos.

La variabilidad en la duración de los periodos sin caudal puede tener profundas implicaciones para el funcionamiento de los ecosistemas, afectando específicamente a la microbiota que reside en los sedimentos de los lechos de los ríos y a los procesos vitales que llevan a cabo. El lecho de los ríos es un ecotono en el que los microorganismos forman biopelículas que desempeñan un papel fundamental en los ciclos biogeoquímicos y en las emisiones de gases de efecto invernadero. Por consiguiente, los periodos prolongados de desecación y los subsiguientes episodios de rehumectación pueden perturbar, limitar o alterar las funciones y la estructura de las comunidades microbianas, comprometiendo así el funcionamiento general de los ecosistemas acuáticos. Es crucial comprender cómo responden las comunidades microbianas de los lechos de los ríos a los episodios de desecación prolongada.

Este manuscrito de revisión ofrece una síntesis de estudios empíricos y experimentales recientes que han explorado diversos aspectos de las comunidades microbianas de los lechos de los ríos en el contexto de diversos periodos de desecación-remojo. Se hace especial hincapié en destacar las respuestas estructurales y funcionales clave de la comunidad microbiana que podrían utilizarse como puntos finales de las respuestas a la desecación. En particular, mostramos la mayor expresión de la actividad fenol-oxidasa entre los microorganismos de los ríos intermitentes.

Palabras clave: global change; conservation; water stress; aquatic ecosystems; hydric stress


Intermittent water deficit in Mediterranean freshwater ecosystems

Water scarcity, the loss of freshwater ecosystems, and the occurrence of drought are among the most urgent environmental challenges of the 21st century (Collins et al. 2009). With the growing global population and the impacts of climate change, including shifts in rainfall patterns, the already stressed freshwater ecosystems face further threats. Drought, a recurring and damaging natural hazard, remains one of the least understood phenomena (Gornall et al. 2010; Lesk et al. 2016). Unlike aridity, which characterizes permanently low rainfall areas, drought can occur in regions with varying levels of rainfall (Wilhite 2000). However, both the frequency and intensity of droughts are expected to increase worldwide due to global climate change and rising demands for freshwater resources (Naylor and Coleman-Derr 2018).

In Europe, meteorological and hydrological droughts have become more severe and frequent, particularly in southwestern and central regions. Southern Europe, in particular, is projected to experience the greatest increase in drought conditions, leading to intensified competition among various water users, such as agriculture, industry, tourism, and households (EPA www.epa.gov). Arid and semi-arid climate areas are particularly vulnerable to drought, posing a significant risk to the integrity and functioning of river networks (Bonada and Resh 2013; Prudhomme et al. 2014). In southern Europe, Mediterranean intermittent rivers are heavily impacted by climate change and human water demands, resulting in water scarcity that pushes these ecosystems closer to resembling terrestrial systems (Datry et al. 2017). By definition, Intermittent rivers and Ephemeral Streams (IRES) are river water bodies characterized by temporary flow. Up to date, researchers worldwide are investigating the consequences of drought and the functioning of intermittent freshwater ecosystems to assess the extent to which they are transitioning into terrestrial-like systems. While the historical repetition of wet and dry events in intermittent rivers may promote biota and microbiota adaptation, prolonged desiccation periods can lead to unforeseen consequences.

Relevance of habitat patchiness for streambed microbiota

The temporal instability of flow conditions in streams plays a crucial role in shaping the habitat patchiness within the streambed, both longitudinally, vertically, and laterally, driven by hydrological, climatic, and geomorphological factors (Steward et al. 2012). The reduction in surface water during intermittent flow creates a mosaic of habitats and microhabitats that can support diverse aquatic and terrestrial biota, including microbiota (Costigan et al. 2016). The dynamic nature of intermittent streambeds and their boundaries, constantly changing as the stream contracts or expands, allows for the occupation of distinct communities in different spots within the streambed, increasing overall biodiversity and compensating for the decrease observed during no-flow conditions (Larned et al. 2010). This intimate link between streams and the surrounding terrestrial environment is reflected in the streambed compartment.

During the desiccation phase, in addition to isolated moist zones and dry bare ground spots, the intermittent streambed often contains specific habitats that better retain moisture, such as leaf litter packs (on the surface or buried within the sediment), woody debris, and algal mats (Steward et al. 2012; Romaní et al. 2017). The mosaic of habitats created under fluctuating stream flows, particularly during desiccation, is of significant importance as it provides refuge for the streambed microbiota, including prokaryotes and eukaryotes, inhabiting the sediment. These refuges enable microbes to withstand harsh conditions characterized by water scarcity, direct radiation, limited nutrient diffusion, and reduced availability of organic matter. Given the pivotal role of streambed microbiota in driving key ecosystem functions, these streambed habitats ensure the maintenance of microbial-mediated stream processes such as nutrient and carbon cycling (Romaní et al. 2017).

Importantly, the highly variable nature of microhabitats within the streambed, shaped by the intermittent hydrological cycle, can lead to patchy distributions of microbial taxa and changes in ecosystem functions over space and time, creating waves of microbial diversity and influencing overall system functioning (Datry et al. 2017; Vadher et al. 2017). The intermittent streambed ecotone harbors unique microbial diversity, including assemblages that are more or less adapted to hydrological fluctuations and play essential roles in biogeochemical processes within the stream (Barthès et al. 2015; Logue et al. 2016). As the streambed transitions from wet to extremely dry conditions, it acquires similar features to nearby soils, highlighting the adaptability of streambed microbiota to changing hydrological conditions (Morandi et al. 2014; Arce et al. 2019).

The interface between aquatic and terrestrial ecosystems

The extent to which dry streambeds resemble soils is closely associated with the duration of the dry phase and the frequency of rewetting episodes (Harms and Grimm 2012; Mori et al. 2017), along with various environmental factors such as solar radiation, sediment water retention capacity, and shadow cover, which influence the preservation of aquatic characteristics within the streambed. Dry streambeds exhibit numerous similarities to soil systems, particularly during prolonged periods of dryness and infrequent inundation events, which contribute to the acquisition of soil-like features (Arce et al. 2019).

Recent studies on soil systems have revealed that microbiota generally adapt well to the initial desiccation process, as certain bacterial and fungal species exhibit drought tolerance and exhibit low rates of activity and growth during water scarcity (Schimel et al. 2010). However, when desiccation periods become prolonged, biological activities become energetically costly, and microorganisms experience direct physiological stress due to water restriction and limited resources. Interestingly, prolonged desiccation may also lead to reduced predation pressure on microbes (Görres et al. 1999), as protozoa require water-filled pores for foraging (Stefan et al. 2014). Desiccation stress further enhances the similarities between aquatic and terrestrial microbial communities, driven by dispersal and colonization from adjacent terrestrial systems or through the adaptation and selection of taxa capable of thriving in specific dry-habitat conditions (Febria et al. 2015; Monard et al. 2016; Sabater et al. 2016). For instance, the presence of a higher abundance of Gram-positive bacterial species or the survival of fungal species with amphibian-like characteristics in intermittent aquatic systems could reflect the initial stages of a terrestrial system originating from alluvial deposits (Morandi et al. 2014; Mori et al. 2017; Arce et al. 2019).

Coupled and uncoupled functional and structural microbial responses to desiccation

In today's context, the increasing frequency of desiccation and rewetting episodes, as well as sporadic storms interrupting prolonged dry periods, pose a threat to microbial biodiversity and functioning (Findlay 2010). Changes in microbial functions under hydrological constraints can either be coupled or uncoupled with shifts in microbial community structure, such as diversity and composition (e.g., Marxsen et al. 2010; Manzoni et al. 2012). The relationship between microbial community structure and function remains a subject of debate in microbial ecology, and studies investigating the function-structure relationships of microbial communities in intermittent rivers are still limited. Recent research has reported conflicting findings regarding the ability of microbial communities inhabiting intermittent streambeds to maintain their functions and structure during wet and dry cycles (Barthès et al. 2015; Febria et al. 2015).

Microorganisms demonstrate great resilience and resistance to (repeated) disturbances, such as hydrological changes, indicating their capacity to remain relatively unchanged and revealing weakly coupled or uncoupled patterns between community function and structure (Frossard et al. 2012; Gibbons et al. 2014). The response of microbial communities to drought can exhibit functional plasticity, where the composition remains stable while functions change, or functional redundancy, where the composition varies but functions remain consistent (Allison and Martiny 2008). However, microbial functional stability is often compromised compared to structural stability under different hydrological conditions. The alternation between wet and dry phases can affect the capabilities of microbial heterotrophs to degrade organic matter through the utilization of different extracellular enzymes. This can result in the conservation of overall community composition, indicating functional plasticity (Romaní et al. 2013; Freixa et al. 2016; Louca et al. 2018). Conversely, other studies have observed differences in community composition or diversity while functions remain similar, suggesting a high degree of functional redundancy (Frossard et al. 2012; Lear et al. 2014; Wagner et al. 2014).

The collective resistance (ability to cope with stress) and resilience (ability to recover quickly) of microbial communities in response to drought disturbances play a crucial role in maintaining community stability under varying intensities of disturbances (Allison and Martiny 2008). Although several studies have explored the dynamics of microbial communities in intermittent streams in response to desiccation, the threshold beyond which microbial communities would be completely altered, both in terms of structure and function, by prolonged desiccation or rewetting, remains unclear. This knowledge gap motivated the focus of this revision manuscript.

In the following subsections we present a compilation of microbial functional and structural responses from two distinct studies conducted in different settings: a laboratory experiment using microcosms to simulate long-term desiccation (> 5 months; Gionchetta et al. 2019) and a field study conducted across multiple sites, encompassing a wide range of intermittency (including dry periods of up to 8 months; Gionchetta et al. 2020). This combination of experimental and field approaches allowed us to examine the effects of desiccation under controlled conditions as well as in natural hydrological settings. The laboratory experiment provided us with the ability to control external factors and isolate the specific impact of desiccation, while the field study allowed us to capture the complexity of natural hydrological variations. By integrating and comparing the findings from both studies, we uncovered important insights into the responses of microbial communities to desiccation.

Functional responses: organic matter degradation capabilities

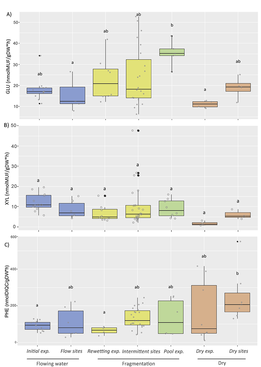
As a key functional response linked to the streambed biofilm role in biogeochemical cycling (Battin et al. 2016), the organic matter degradation capabilities were analyzed by means of the extracellular enzyme microbial activities in streambed sediments. Specifically, we testes the microbial capacity to degrade simple polysaccharides, such as the hemicellulose and cellobiose degradation activity (β-xylosidase (XYL); β-Glucosidase, GLU) and the abiilty to degrade lignin compounds (phenol-oxidase (PHE) activity). Disparities in organic matter quality and quantity between the different hydrological phases may translate into differences in organic matter decomposition capabilities (Ylla et al. 2010). A drying streambed may accumulate greater amount of organic matter (e.g., from animal or vegetal debris) compared with other hydrological states, especially in arid, semiarid, and Mediterranean regions where the vegetation is limited to the riparian zones (Steward et al. 2012; Arce et al. 2019). Even under dry conditions, extracellular enzyme activities have been measured and related to the microbial organic matter decomposition in stream sediments (Marxsen et al. 2010; Zoppini et al. 2014). Previous studies also linked the type of enzyme activities activation to the distinct hydrological phases (drought vs flooding events) in intermittent rivers (Ylla et al. 2010; Romaní et al. 2013; Freixa et al. 2016). Here, our results show differing uses of enzymatic activities depending on the hydrological phase and streambed condition (i.e., flowing water, fragmentation- including intermittent sites and pool condition-, and dry in Fig. 1).

Box plots of extracellular enzyme activities from streambed sediments

Figure 1. Box plots of extracellular enzyme activities from streambed sediments: A) β-Glucosidase, GLU, B) β-Xylosidase, XYL and C) Phenol-oxidase, PHE. Data included correspond to laboratory and field studies from Gionchetta et al. (2019 and 2020), representing different hydrological phases such as Flowing waters, Fragmentation and Dry conditions. Laboratory experimental (exp.) data correspond to the initial streambed sediment incubated from a permanent Mediterranean stream (called Initial exp., n=3), the streambed sediment submitted to desiccation (150 days) interrupted by a storm event at day 90 and sampled just after the storm (called Rewetting exp., n=3), the streambed sediment water saturated for 150 days, simulating a pool (called Pool exp., n=3), and the streambed sediment desiccated for 150 days (called Dry exp., n=3) (Gionchetta et al. 2019). Field data correspond to streambed sites where hydrology was monitored for the previous 8 months before sampling and included permanent streams (called Flow sites, n= 5), intermittent streams (dry <30% of the time, called Intermittent sites, n=21), and long-dry streams (dry >85% of the time, ca. more than 5 months, called Dry sites n=6) (Gionchetta et al. 2020).

Figura 1. Diagramas de caja de las actividades enzimáticas extracelulares de los sedimentos de los ríos: A) β-Glucosidasa, GLU, B) β-Xilosidasa, XYL y C) Fenol-oxidasa, PHE. Los datos incluidos corresponden a estudios de laboratorio y campo de Gionchetta et al. (2019 y 2020), representando diferentes fases hidrológicas como Aguas fluyentes, Fragmentación y Condiciones secas. Los datos experimentales (exp.) de laboratorio corresponden al sedimento inicial del lecho del arroyo incubado de un arroyo mediterráneo permanente (llamado exp. inicial, n=3), el sedimento del lecho del arroyo sometido a desecación (150 días) interrumpida por un evento de tormenta en el día 90 y muestreado justo después de la tormenta (llamado exp. de rehumectación, n=3), el sedimento del lecho del arroyo saturado de agua durante 150 días, simulando una charca (llamado Pool exp., n=3), y el sedimento del lecho del arroyo desecado durante 150 días (llamado Dry exp., n=3) (Gionchetta et al. 2019). Los datos de campo corresponden a sitios del lecho del arroyo donde la hidrología fue monitoreada durante los 8 meses previos al muestreo e incluyeron ríos permanentes (llamados sitios de Flujo, n= 5), ríos intermitentes (secos <30% del tiempo, llamados sitios Intermitentes, n=21), y ríos de secado prolongado (secos >85% del tiempo, ca. más de 5 meses, llamados sitios Secos n=6) (Gionchetta et al. 2020).

 

The capacity to degrade simple polysaccharides, such as the cellobiose degradation activity (β-Glucosidase, GLU) showed high variability and there was a no clear inhibition of this activity due to increasing drought (i.e., from flowing water sediments to long-term dry sediments, Fig. 1A), as similarly observed in previous studies (Timoner et al. 2012; Freixa et al. 2016).

However, GLU activity tended to be higher in fragmentation phases and variability was greatest in intermittent conditions, such as in streambeds from intermittent sites (being dried between 10 and 30% of the previous 8 months before sampling) and in experimental samples corresponding to sediment submitted to a storm after 90 days of drought (intermittent sites and rewetting exp. in Fig. 1). These results underline the importance of the wet events moistening the dry sediment that may occur in intermittent sites, which may enhance the release of labile compounds from accumulated organic matter during previous drought; this mobilization might be highly variable between sites (Evans et al. 2014; Shumilova et al. 2019). Similarly, increases in respiration activity have been observed in intermittent streambeds especially in rewetting episodes and related to the fast use of accumulated organic matter (Coulson et al. 2022). Furthermore, in the water saturated condition of the experimental approach simulating a pool (i.e., Pool exp. in Fig. 1A), the significant peaks of GLU activity have been associated to the algal colonization, typically occurring in these microhabitats, therefore considered as a microbial refuge under harsh conditions (Larned et al. 2010; Casas-Ruiz et al. 2016). This suggest that during fragmentation, degradation of simple polysaccharides may be enhanced by the combination of activity at the different habitat patches.

Under prolonged desiccation periods the results from β-xylosidase (XYL) and phenol-oxidase (PHE) activities performed opposite patterns (e.g. reduction of XYL and increase of PHE), for both experimental and field studies (Figs. 1B, 1C). In the case of XYL, the slight reduction observed under extreme dry condition (Fig. 1B), was related to the potential change of the quality of the organic matter stored in the surface sediment during the desiccation phase (Ylla et al. 2010; Romaní et al. 2013) and may indicate a decrease on the degradation of simple polysaccharides from hemicellulose origin (typically being part of plant material). This may indicate that these first degradable hemicellulose polysaccharides from plant material have been already decomposed in previous wet phases. This pattern was especially clear for the laboratory experiment (i.e., Dry exp. Fig. 1B) whereas in the fieldwork the tendency was weaker. Contrarily, PHE activity resulted in a significantly increase when increasing dryness conditions in the streambed (Fig. 1C). In the dried streambeds, the accumulation of allochthonous debris mostly composed by recalcitrant materials would enhance degradation of lignin-like materials (Sinsabaugh 2010; Burns et al. 2013). Importantly, the XYL and PHE enzyme activities were the most responsive enzymes to the desiccation experiment (Gionchetta et al. 2019) and to some extent to the natural intermittency gradient (Gionchetta et al. 2020). Bearing in mind the complexity and the multiple factors that could influence the microbial functional, the extracellular enzymes could be considered as useful microbial functional markers for the detection of extreme drying conditions, behind which the resilience of the microbial-mediated ecosystem functions could be compromised. In particular, the greater utilization of PHE among the intermittent streambeds, submitted to long-term drought, could be used as a reference for potential begin of transition from freshwater to terrestrial systems.

Microbial community diversity and taxonomic composition responses

The hydrological fluctuations from flowing to extremely dry conditions fragment the intermittent river path creating microhabitats, recognized as microbial refuges (Romaní et al. 2017). The stream path fragmentation and the variation of the quality and quantity of organic matter, together with changes in water availability, can change the streambed microbial diversity and composition (Marxsen et al. 2010; Freixa et al. 2016). Changes in streambed community composition could be coupled or not to functional changes (as those described above). The comparison between the streambed bacterial diversity (measured as Shannon and Richness diversity indices) obtained from the experimental and field studies tended to decrease in the driest conditions (Fig. 2). In spite of the large variability observed among the results obtained, significant diversity reductions have been observed after long dry period, especially from the laboratory results (Fig. 2).

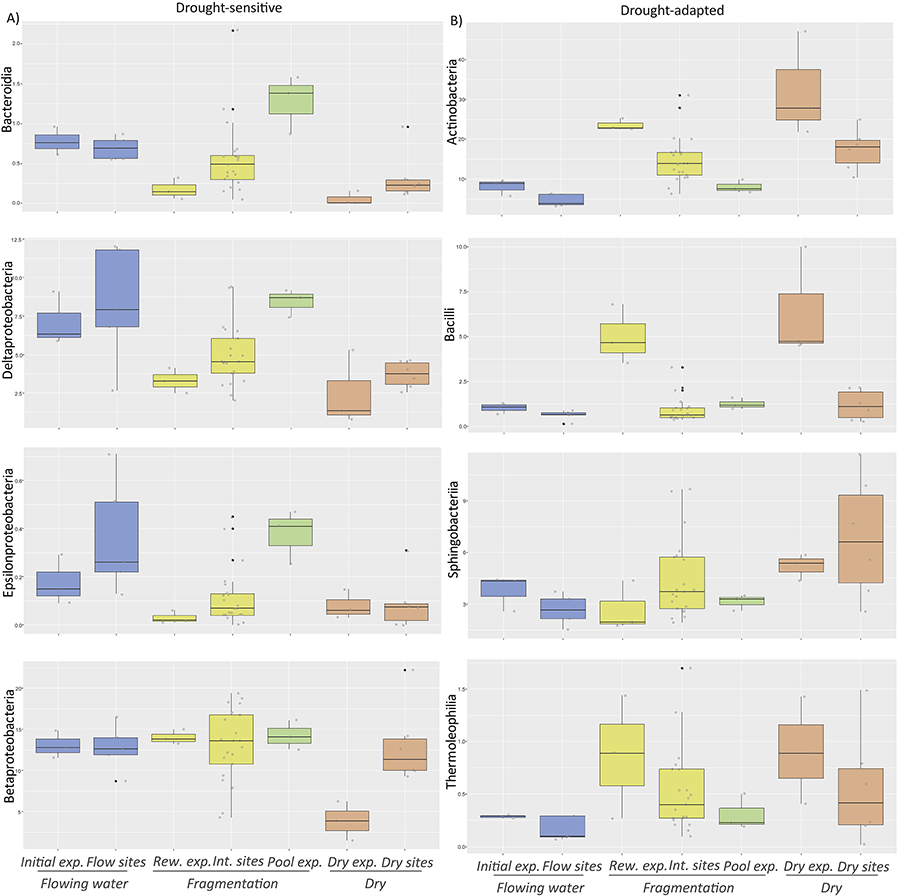
In terms of bacterial taxonomic composition, changes in the most abundant classes colonizing the streambed were observed during the distinct hydrological conditions in both laboratory and field studies (Fig. 3) and a transition from Gram-negative to Gram-positive bacteria. The experimental and field data comparison showed the transition of some taxa abundance, differentiating between two main types. The first type consisted in those that tended to reduce their abundances when increasing drought duration (e.g. Beta- and Delta-Proteobacteria and Bacteroiidia, Fig. 3) which could be defined as “drought sensitive”; the second type included those taxa that increased their abundances under long-drought (e.g. Actinobacteria, Bacilli and Thermoleophilia Fig. 3) which could be defined as “drought-adapted”. Other taxa that were not significantly modifying their abundances (e.g. Bacteroidetes and Alpha- and Gamma-Proteobacteria) could be defined as “drought resistant”. These patterns were similar for both laboratory and field experiments. As previously observed from different studies on soil and streambed microbial communities, hydrological changes could influence the taxa selection (e.g. abundance of specific classes) able to cope with osmotic stress (Schimel et al. 2007; Romaní et al. 2013; Zoppini et al. 2014). The “drought-adapted” classes observed in our studies have been already identified as able to cope with desiccation periods in previous research mainly focused on soil microbial composition changes under drought conditions (Schimel et al. 2007; Manzoni et al. 2012; Barnard et al. 2013, 2014; Meisner et al. 2018; Naylor and Coleman-Derr 2018). Furthermore, recent research reported similar adaptation of bacteria and fungi inhabiting soils and dry streambed submitted to frequent and intense dry conditions, such as Gram-positive bacterial cells and fungi with thicker cell walls that help to better cope with the osmotic stress (Jones and Lennon 2010; Yuste et al. 2011; Manzoni et al. 2012; Zeglin 2015).

All of these evidences strengthened the similarity between the dry streambed systems studied and a (dry)-soil environment, suggesting that prolonged and unusual dry periods could boost the terrestrial transition of the aquatic intermittent ecosystem.


 

Box plots of bacterial diversity indices from streambed sediments:

 

Figure 2. Box plots of bacterial diversity indices from streambed sediments: A) Shannon-Wiener diversity index B) Richness Chao1 diversity index. Data included correspond to laboratory and field studies from Gionchetta et al. (2019 and 2020), representing different hydrological phases such as Flowing waters, Fragmentation and Dry conditions. Laboratory experimental (exp.) data correspond to the initial streambed sediment incubated from a permanent Mediterranean stream (called Initial exp., n=3), the streambed sediment submitted to desiccation (150 days) interrupted by a storm event at day 90 and sampled just after the storm (called Rewetting exp., n=3), the streambed sediment water saturated for 150 days, simulating a pool (called Pool exp., n=3), and the streambed sediment desiccated for 150 days (called Dry exp., n=3) (Gionchetta et al. 2019). Field data correspond to streambed sites where hydrology was monitored for the previous 8 months before sampling and included permanent streams (called Flow sites, n= 5), intermittent streams (dry <30% of the time, called Intermittent sites, n=21), and long-dry streams (dry >85% of the time, ca. more than 5 months, called Dry sites n=6) (Gionchetta et al. 2020). The letters indicate significant differences between the categories tested with one-way ANOVA and Tukey test.

Figura 2. Diagramas de cajas de los índices de diversidad bacteriana de los sedimentos de los ríos: A) Índice de diversidad de Shannon-Wiener B) Índice de diversidad Richness Chao1. Los datos incluidos corresponden a estudios de laboratorio y de campo de Gionchetta et al. (2019 y 2020), representando diferentes fases hidrológicas como Aguas fluyentes, Fragmentación y Condiciones secas. Los datos experimentales (exp.) de laboratorio corresponden al sedimento inicial del lecho del arroyo incubado de un arroyo mediterráneo permanente (llamado exp. inicial, n=3), el sedimento del lecho del arroyo sometido a desecación (150 días) interrumpida por un evento de tormenta en el día 90 y muestreado justo después de la tormenta (llamado exp. de rehumectación, n=3), el sedimento del lecho del arroyo saturado de agua durante 150 días, simulando una charca (llamado Pool exp., n=3), y el sedimento del lecho del arroyo desecado durante 150 días (llamado Dry exp., n=3) (Gionchetta et al. 2019). Los datos de campo corresponden a sitios del lecho del arroyo donde la hidrología fue monitoreada durante los 8 meses previos al muestreo e incluyeron ríos permanentes (llamados sitios de Flujo, n= 5), ríos intermitentes (secos <30% del tiempo, llamados sitios Intermitentes, n=21), y ríos de secado prolongado (secos >85% del tiempo, ca. más de 5 meses, llamados sitios Secos n=6) (Gionchetta et al. 2020). Las letras indican diferencias significativas entre las categorías probadas con ANOVA unidireccional y test de Tukey.

 

Box plots of the 13 most abundant bacterial taxa found in the streambeds from both the experiment and field studies

Figure 3. Box plots of the 13 most abundant bacterial taxa found in the streambeds from both the experiment and field studies: A) Drought-sensitive (decreasing relative abundance when increasing drought length), B) Drought-adapted (increasing relative abundance when increasing drought length). Data included correspond to laboratory and field studies from Gionchetta et al. (2019 and 2020), representing different hydrological phases such as Flowing waters, Fragmentation and Dry conditions. Laboratory experimental (exp.) data correspond to the initial streambed sediment incubated from a permanent Mediterranean stream (called Initial exp., n=3), the streambed sediment submitted to desiccation (150 days) interrupted by a storm event at day 90 and sampled just after the storm (called Rewetting exp., n=3), the streambed sediment water saturated for 150 days, simulating a pool (called Pool exp., n=3), and the streambed sediment desiccated for 150 days (called Dry exp., n=3) (Gionchetta et al. 2019). Field data correspond to streambed sites where hydrology was monitored for the previous 8 months before sampling and included permanent streams (called Flow sites, n= 5), intermittent streams (dry <30% of the time, called Intermittent sites, n=21), and long-dry streams (dry >85% of the time, ca. more than 5 months, called Dry sites n=6) (Gionchetta et al. 2020).

Figura 3. Diagramas de cajas de los 13 taxones bacterianos más abundantes encontrados en los lechos de los ríos tanto en el experimento como en los estudios de campo: A) Sensibles a la sequía (abundancia relativa decreciente al aumentar la duración de la sequía), B) Adaptados a la sequía (abundancia relativa creciente al aumentar la duración de la sequía). Los datos incluidos corresponden a los estudios de laboratorio y campo de Gionchetta et al. (2019 y 2020), representando diferentes fases hidrológicas como Aguas fluyentes, Fragmentación y Condiciones secas. Los datos experimentales (exp.) de laboratorio corresponden al sedimento inicial del lecho del arroyo incubado de un arroyo mediterráneo permanente (llamado exp. inicial, n=3), el sedimento del lecho del arroyo sometido a desecación (150 días) interrumpida por un evento de tormenta al día 90 y muestreado justo después de la tormenta (llamado exp. de rehumectación, n=3), el sedimento del lecho del arroyo saturado de agua durante 150 días, simulando una charca (llamado Pool exp., n=3), y el sedimento del lecho del arroyo desecado durante 150 días (llamado Dry exp., n=3) (Gionchetta et al. 2019). Los datos de campo corresponden a sitios del lecho del arroyo donde la hidrología fue monitoreada durante los 8 meses previos al muestreo e incluyeron ríos permanentes (llamados sitios de Flujo, n= 5), ríos intermitentes (secos <30% del tiempo, llamados sitios Intermitentes, n=21), y ríos de secado prolongado (secos >85% del tiempo, ca. más de 5 meses, llamados sitios Secos n=6) (Gionchetta et al. 2020).

Integrating field and laboratory experiments to reveal potential microbial indicators of desiccation

The combination of both experimental and field data provided valuable insights into the advantages and limitations of each approach. Laboratory experiments offer a higher degree of experimental control, allowing for replicability and the ability to simulate specific conditions of streambeds undergoing long desiccation periods. By using columns of stream sediment, we were able to simplify the experimental conditions, facilitating the understanding of ecological patterns and processes (Jessup et al. 2004). However, it is important to acknowledge the disadvantages of laboratory approaches, such as the potential oversimplification and reduction of spatial and temporal scales. These limitations restrict the direct extrapolation and interpretation of experimental results to natural aquatic ecosystems, and caution should be exercised when making such inferences.

On the other hand, field observations provide a more realistic representation of the natural complexity of intermittently dried streambeds. However, the inherent complexity also presents challenges in identifying and obtaining clear patterns and conclusions. Proper data analysis techniques, such as multiple factor modeling or comparative approaches, are crucial for dealing with the large environmental variability encountered in the field.

The integrated comparison between the laboratory experiments and field observations allowed for a more accurate description of the complex microbial dynamics that exist within intermittently dried streambeds (Fig. 4). By leveraging the strengths of both approaches, we were able to gain a comprehensive understanding of the microbial responses to desiccation, incorporating both controlled experimental conditions and the ecological complexity of natural systems. This integrated approach enhances our ability to elucidate the underlying mechanisms and ecological implications of microbial dynamics in intermittently dried streambeds.

Altogether, several tendencies converge in both approaches and are those we propose as endpoints of desiccation. One notable finding was the functional shift observed in the utilization of organic matter, indicating an adaptive response to the extremely dry conditions, with the clearest response being the increased lignin degradation capacity (PHE activity) respect to degradation of simple polysaccharides (GLU & XYL activities). A further functional response was the great variability and enhanced capacity to degrade simple polysaccharides (GLU activity) in intermittency conditions usually taking place during flowing fragmentation phases. Additionally, we observed a tendency of decreasing bacterial diversity in the dry conditions together with a change in the relative abundance of certain microbial taxa and a general shift from Gram-negative to Gram-positive bacteria (Fig. 4).



Diagram illustrating the main findings obtained from this data comparison

Figure 4. Diagram illustrating the main findings obtained from this data comparison. The acronyms GLU, XYL and PHE indicate the three extracellular enzyme activities: β- Glucosidase, β-Xylosidase and Phenol-oxidase, respectively. Flowing water, Fragmentation and Dry indicate three distinct status of the streambed. Microbial diversity indicates the measures of Shannon-Wiener and Richness indices.

Figura 4. Diagrama que ilustra los principales resultados obtenidos de esta comparación de datos. Las siglas GLU, XYL y PHE indican las tres actividades enzimáticas extracelulares: β- Glucosidasa, β-Xilosidasa y Fenol-oxidasa, respectivamente. Agua fluyente, Fragmentación y Seco indican tres estados distintos del lecho del arroyo. La diversidad microbiana indica las medidas de los índices de Shannon-Wiener y de riqueza.

Above these promising tools, we need to be aware of the limitations of the provided conclusions from the reported studies. One notable limitation is the absence of a comprehensive investigation into certain communities, such as fungi and protozoa, which play a crucial role in the overall response of streambed microbial communities to drought stress. Understanding the dynamics of the entire microbiota in the face of environmental changes necessitates studying these groups. In addition to examining the individual responses of fungi and protozoa during prolonged dry periods, there is a lack of knowledge regarding the interconnections within the microbial food web (Weitere et al. 2018). Future studies should aim to address this gap in the literature, as it would help refine our understanding and ascertain the universality of microbiome trends under consistent drought stress. Specifically, investigating the extent to which streambed microbial composition is modulated between different groups and how these relationships differ under drought conditions would be valuable. An additional hindrance to analyzing the microbiota of dry streambeds is the methodology employed to assess the impact on associated communities. The integration of molecular and functional tools, which serve as proxies for ecosystem processes, has become crucial for next-generation studies. Employing a multifactorial modeling approach is considered the initial step towards effectively analyzing the changing environment. Therefore, future studies should combine laboratory and field approaches to ensure more meaningful and reliable conclusions.

Undoubtedly, the temporal and spatial scales are also critical factors when comparing microbial responses across different stream sites. Future research should incorporate larger time and space series, coupled with specific characterization of the stream sites at both habitat and catchment scales. This comprehensive approach would enable better modeling of the potential effects resulting from increased drought conditions. Furthermore, future studies should investigate the impact of agricultural activities on riparian vegetation and its link to the desiccation period. Revealing potential additive negative effects, such as reduced microbial diversity and functions (Griffith et al. 2019), can shed light on the consequences of agricultural practices on streambed ecosystems.

In conclusion, these suggestions serve as a foundation for future investigations and can help mitigate the impacts of global change on streambed microbiota functions, ultimately safeguarding freshwater ecosystems and ensuring water security.

Contribution of the authors

GG: Conceptualization; Data Curation; Formal Analysis; Visualization; Writing – Original Draft; Writing – Review & Editing. AR: Funding Acquisition; Supervision; Writing – Original Draft; Writing – Review & Editing.

References

Allison, S.D., Martiny, J.B.H. 2008. Resistance, resilience, and redundancy in microbial communities. Proceedings of the National Academy of Sciences 105: 11512–11519. https://doi.org/10.1073/pnas.0801925105

Arce, M.I., Mendoza-Lera, C., Almagro, M., Catalán, N., Romaní, A.M., Martí, E., Gómez, R., et al. 2019. A conceptual framework for understanding the biogeochemistry of dry riverbeds through the lens of soil science. Earth-Science Reviews 188: 441–453. https://doi.org/10.1016/j.earscirev.2018.12.001

Barnard, R.L., Osborne, C.A., Firestone, M.K. 2013. Responses of soil bacterial and fungal communities to extreme desiccation and rewetting. The ISME Journal 7: 2229–2241. https://doi.org/10.1038/ismej.2013.104

Barnard, R.L., Osborne, C.A., Firestone, M.K. 2014. Changing precipitation pattern alters soil microbial community response to wet-up under a Mediterranean-type climate. The ISME Journal 9: 946–957. https://doi.org/10.1038/ismej.2014.192

Barthès, A., Ten-Hage, L., Lamy, A., Rols, J.L., Leflaive, J. 2015. Resilience of AggregatedMicrobial Communities Subjected to Drought—Small-Scale Studies. Microbial Ecology 70: 9–20. https://doi.org/10.1007/s00248-014-0532-0

Battin, T.J., Besemer, K., Bengtsson, M.M., Romani, A.M., Packmann, A.I. 2016. The ecology and biogeochemistry of stream biofilms. Nature Reviews Microbiology 14: 251–263. https://doi.org/10.1038/nrmicro.2016.15

Bonada, N., Resh, V.H. 2013. Mediterranean-climate streams and rivers: Geographically separated but ecologically comparable freshwater systems. Hydrobiologia 719: 1–29. https://doi.org/10.1007/s10750-013-1634-2

Burns, R.G., DeForest, J.L., Marxsen, J., Sinsabaugh, R.L., Stromberger, M.E., Wallenstein, M.D., Weintraub, M.N., et al. 2013. Soil enzymes in a changing environment: Current knowledge and future directions. Soil Biology and Biochemistry 58: 216–234. https://doi.org/10.1016/j.soilbio.2012.11.009

Casas-Ruiz, J.P., Tittel, J., von Schiller, D., Catalán, N., Obrador, B., Gómez-Gener, L., Zwirnmann, E., et al. 2016. Drought-induced discontinuities in the source and degradation of dissolved organic matter in a Mediterranean river. Biogeochemistry 127: 125–139. https://doi.org/10.1007/s10533-015-0173-5

Collins, R., Thyssen, N., Kristensen, P. 2009. Water resources across Europe – Confronting water scarcity and drought. Publications Office, European Environment Agency. https://data.europa.eu/doi/10.2800/16803

Costigan, K.H., Jaeger, K.L., Goss, C.W., Fritz, K.M., Goebel, P.C. 2016. Understanding controls on flow permanence in intermittent rivers to aid ecological research: integrating meteorology, geology and land cover. Ecohydrology 9: 1141–1153. https://doi.org/10.1002/eco.1712

Coulson, L.E., Weigelhofer, G., Gill, S., Hein, T., Griebler, C. Schelker, J. 2022. Small rain events during drought alter sediment dissolved organic carbon leaching and respiration in intermittent stream sediments. Biogeochemistry 159: 159–178. https://doi.org/10.1007/s10533-022-00919-7

Datry, T., Bonada, N., Boulton, A.J. (eds.). 2017. Intermittent Rivers and Ephemeral Streams - Ecology and Management. Elsevier.

Evans, S.E., Wallenstein, M.D., Burke, I.C. 2014. Is bacterial moisture niche a good predictor of shifts in community composition under long-term drought. Ecology 95: 110–122. https://doi.org/10.1890/13-0500.1

Febria, C.M., Hosen, J.D., Crump, B.C., Palmer, M.A., Williams, D.D. 2015. Microbial responses to changes in flow status in temporary headwater streams: a cross-system comparison. Frontiers in Microbiology 6. https://doi.org/10.3389/fmicb.2015.00522

Findlay, S., 2010. Stream microbial ecology. Journal of the North American Benthological Society: 29:  170–181. https://doi.org/10.1899/09-023.1

Freixa, A., Ejarque, E., Crognale, S., Amalfitano, S., Fazi, S., Butturini, A., Romaní, A.M. 2016. Sediment microbial communities rely on different dissolved organic matter sources along a Mediterranean river continuum. Limnology and Oceanography: 61. https://doi.org/10.1002/lno.10308

Frossard, A., Gerull, L., Mutz, M., Gessner, M.O. 2012. Disconnect of microbial structure and function: enzyme activities and bacterial communities in nascent stream corridors. The ISME Journal 6: 680–691. https://doi.org/10.1038/ismej.2011.134

Gibbons, S.M., Jones, E., Bearquiver, A., Blackwolf, F., Roundstone, W., Scott, N., Hooker, J., et al. 2014. Human and environmental impacts on river sediment microbial communities. PLoS One 9: 1–9. https://doi.org/10.1371/journal.pone.0097435

Gionchetta, G., Oliva, F., Menéndez, M., Lopez Laseras, P., Romaní, A.M. 2019. Key role of streambed moisture and flash storms for microbial resistance and resilience to long-term drought. Freshwater Biology 64: 306–322. https://doi.org/10.1111/fwb.13218

Gionchetta, J., Artigas, J., AriasReal, R., Oliva, F., Romaní, A.M. 2020. Multimodel assessment of hydrological and environmental impacts on streambed microbes in Mediterranean catchments. Environmental Microbiology 22: 2213-2229. https://doi.org/10.1111/1462-2920.14990

Gornall, J., Betts, R., Burke, E., Clark, R., Camp, J., Willett, K., Wiltshire, A. 2010. Implications of climate change for agricultural productivity in the early twenty-first century. Philosophical Transactions of the Royal Society B: Biological Sciences 365: 2973–2989. https://doi.org/10.1098/rstb.2010.0158

Görres, J.H., Savin, M.C., Neher, D.A., Weicht, T.R., Amador, J.A. 1999. Grazing in a porous environment: 1. The effect of soil pore structure on C and N mineralization. Plant and Soil 212: 75–83. https://doi.org/10.1023/A:1004694202862

Griffith, C.A., Shang, P., Lu, Y., Theuerkauf, E.J., Rodriguez, A.B., Findlay, R.H. 2019. Agricultural land use impacts microbial community structure of streambed sediments. Aquatic Microbial Ecology 83: 225-236. https://doi.org/10.3354/ame01905

Harms, T.K., Grimm, N.B. 2012. Responses of trace gases to hydrologic pulses in desert floodplains. Journal of Geophysical Research: Biogeosciences 117: 1–14. https://doi.org/10.1029/2011JG001775

Jessup, C.M., Kassen, R., Forde, S.E., Kerr, B., Buckling, A., Rainey, P.B., Bohannan, B.J.M. 2004. Big questions, small worlds: Microbial model systems in ecology. Trends in Ecology and Evolution 19:  189–197. https://doi.org/10.1016/j.tree.2004.01.008

Jones, S.E., Lennon, J.T. 2010. Dormancy contributes to the maintenance of microbial diversity. Proceedings of the National Academy of Sciences 107: 5881–5886. https://doi.org/10.1073/pnas.0912765107

Larned, S.T., Datry, T., Arscott, D.B., Tockner, K. 2010. Emerging concepts in temporary-river ecology. Freshwater Biology 55: 717–738. https://doi.org/10.1111/j.1365-2427.2009.02322.x

Lear, G., Bellamy, J., Case, B.S., Lee, J.E., Buckley, H.L. 2014. Fine-scale spatial patterns in bacterial community composition and function within freshwater ponds. The ISME Journal 8: 1715–1726. https://doi.org/10.1038/ismej.2014.21

Lesk, C., Rowhani, P., Ramankutty, N. 2016. Influence of extreme weather disasters on global crop production. Nature 529: 84–87. https://doi.org/10.1038/nature16467

Logue, J.B., Stedmon, C.A., Kellerman, A.M., Nielsen, N.J., Andersson, A.F., Laudon, H., Lindström, E.S., et al. 2016. Experimental insights into the importance of aquatic bacterial community composition to the degradation of dissolved organic matter. The ISME Journal 10: 533–545. https://doi.org/10.1038/ismej.2015.131

Louca, S., Polz, M.F., Mazel, F., Albright, M.B.N., Huber, J.A., O’Connor, M.I., Ackermann, M. et al. 2018. Function and functional redundancy in microbial systems. Nature Ecology and Evolution 2: 936–943. https://doi.org/10.1038/s41559-018-0519-1

Manzoni, S., Schimel, J.P., Porporato, A. 2012. Responses of soil microbial communities to water stress: results from a meta-analysis. Ecology 93: 930–938. https://doi.org/10.1890/11-0026.1

Marxsen, J., Zoppini, A., Wilczek, S. 2010. Microbial communities in streambed sediments recovering from desiccation. FEMS Microbiology Ecology 71: 374–386. https://doi.org/10.1111/j.1574-6941.2009.00819.x

Meisner, A., Jacquiod, S., Snoek, B.L., Ten Hooven, F.C., van der Putten, W.H. 2018. Drought legacy effects on the composition of soil fungal and prokaryote communities. Frontiers in Microbiology 9: 1–12. https://doi.org/10.3389/fmicb.2018.00294

Monard, C., Gantner, S., Bertilsson, S., Hallin, S., Stenlid, J. 2016. Habitat generalists and specialists in microbial communities across a terrestrial-freshwater gradient. Scientific Reports 6: 1–10. https://doi.org/10.1038/srep37719

Morandi, B., Piégay, H., Lamouroux, N., Vaudor, L. 2014. How is success or failure in river restoration projects evaluated? Feedback from French restoration projects. Journal of Environmental Management 137: 178–188. https://doi.org/10.1016/j.jenvman.2014.02.010

Mori, N., Simčič, T., Brancelj, A., Robinson, C.T., Doering, M. 2017. Spatiotemporal heterogeneity of actual and potential respiration in two contrasting floodplains. Hydrological Processes 31: 2622–2636. https://doi.org/10.1002/hyp.11211

Naylor, D., Coleman-Derr, D. 2018. Drought Stress and Root-Associated Bacterial Communities. Frontiers in Plant Science 8: 1–16. https://doi.org/10.3389/fpls.2017.02223

Prudhomme, C., Giuntoli, I., Robinson, E.L., Clark, D.B., Arnell, N.W., Dankers, R., Fekete, B.M., et al. 2014. Hydrological droughts in the 21st century, hotspots and uncertainties from a global multimodel ensemble experiment. Proceedings of the National Academy of Sciences 111: 3262–3267. https://doi.org/10.1073/pnas.1222473110

Romaní, A.M., Amalfitano, S., Artigas, J., Fazi, S., Sabater, S., Timoner, X., Ylla, I., Zoppini, A. 2013. Microbial biofilm structure and organic matter use in mediterranean streams. Hydrobiologia 719: 43–58. https://doi.org/10.1007/s10750-012-1302-y

Romaní, A.M., Chauvet, E., Febria, C., Mora-Gómez, J., Risse-Buhl, U., Timoner, X., Weitere, M., et al. 2017. The biota of intermittent rivers and ephemeral streams: prokaryotes, fungi and protozoans. In: Datry, T., Bonada, N., Boulton, A.J. (eds.), Intermittent Rivers and Ephemeral Streams - Ecology and Management, pp. 161-188. Elsevier.

Sabater, S., Timoner, X., Borrego, C., Acuña, V. 2016. Stream biofilm responses to flow intermittency: from cells to ecosystems. Frontiers in Environmental Science 4: 1–10. https://doi.org/10.3389/fenvs.2016.00014

Schimel, J., Balser, T.C., Wallenstein, M. 2007. Microbial stress-response physiology and its implications for ecosystem function. Ecology 88: 1386–1394. https://doi.org/10.1890/06-0219

Schimel, J.P., Boot, C., Holden, P.A., Roux-Michollet, D., Parker, S., Schaeffer, S., Treseder, K.K. 2010. Enzyme activity and adaptation in dry soil. 19th World Congress of Soil Science, Soil Solutions for a Changing World, 1 – 6 August 2010, Brisbane, Australia, pp. 17–20.

Shumilova, O., Zak, D., Datry, T., von Schiller, D., Corti, R., Foulquier, A., Obrador, B., et al. 2019. Simulating rewetting events in intermittent rivers and ephemeral streams: A global analysis of leached nutrients and organic matter. Global Change Biology 25(5): 1591–1611. https://doi.org/10.1111/gcb.14537

Sinsabaugh, R.L. 2010. Phenol oxidase, peroxidase and organic matter dynamics of soil. Soil Biology and Biochemistry 42: 391-404. https://doi.org/10.1016/j.soilbio.2009.10.014

Stefan, G., Cornelia, B., Römbke, J., Bonkowski, M. 2014. Soil water availability strongly alters the community composition of soil protists. Pedobiologia 57: 205–213. https://doi.org/10.1016/j.pedobi.2014.10.001

Steward, A.L., Von Schiller, D., Tockner, K., Marshall, J.C., Bunn, S.E. 2012. When the river runs dry: Human and ecological values of dry riverbeds. Frontiers in Ecology and the Environment 10: 202–209. https://doi.org/10.1890/110136

Timoner, X., Acuña, V., Von Schiller, D., Sabater, S. 2012. Functional responses of stream biofilms to flow cessation, desiccation and rewetting. Freshwater Biology 57: 1565–1578. https://doi.org/10.1111/j.1365-2427.2012.02818.x

Vadher, A.N., Leigh, C., Millett, J., Stubbington, R., Wood, P.J. 2017. Vertical movements through subsurface stream sediments by benthic macroinvertebrates during experimental drying are influenced by sediment characteristics and species traits. Freshwater Biology 62: 1730–1740. https://doi.org/10.1111/fwb.12983

Wagner, K., Bengtsson, M.M., Besemer, K., Sieczko, A., Burns, N.R., Herberg, E.R., Battin, T.J. 2014. Functional and Structural Responses of Hyporheic Biofilms to Varying Sources of Dissolved Organic Matter. Applied and Environmental Microbiology 80: 6004–6012. https://doi.org/10.1128/AEM.01128-14

Weitere, M., Erken, M., Majdi, N., Arndt, H., Norf, H., Reinshagen, M., Traunspurger, W., et al. 2018, The food web perspective on aquatic biofilms. Ecological Monographs 88: 543-559. https://doi.org/10.1002/ecm.1315

Wilhite, D.A. 2000. Drought as a Natural Hazard: Concepts and Definitions. In: Wilhite, D.A. (ed.) Drought: A Global Assessment, Vol.I, pp. 3–18. Drought Mitigation Center Faculty Publications, London.

Ylla, I., Sanpera-Calbet, I., Vázquez, E., Romaní, A.M., Muñoz, I., Butturini, A., Sabater, S. 2010. Organic matter availability during pre- and post-drought periods in a Mediterranean stream. Hydrobiologia 657: 217–232. https://doi.org/10.1007/s10750-010-0193-z

Yuste, J.C., Peñuelas, J., Estiarte, M., Garcia-Mas, J., Mattana, S., Ogaya, R., Pujol, M., et al. 2011. Drought-resistant fungi control soil organic matter decomposition and its response to temperature. Global Change Biology 17: 1475–1486. https://doi.org/10.1111/j.1365-2486.2010.02300.x

Zeglin, L.H. 2015. Stream microbial diversity in response to environmental changes: review and synthesis of existing research. Frontiers in Microbiology 6: 454. https://doi.org/10.3389/fmicb.2015.00454

Zoppini, A., Ademollo, N., Amalfitano, S., Casella, P., Patrolecco, L., Polesello, S. 2014. Organic priority substances and microbial processes in river sediments subject to contrasting hydrological conditions. Science of the Total Environment 484: 74–83. https://doi.org/10.1016/j.scitotenv.2014.03.019